1/5
Looks like no tags are added yet.
Name | Mastery | Learn | Test | Matching | Spaced | Call with Kai |
|---|
No analytics yet
Send a link to your students to track their progress
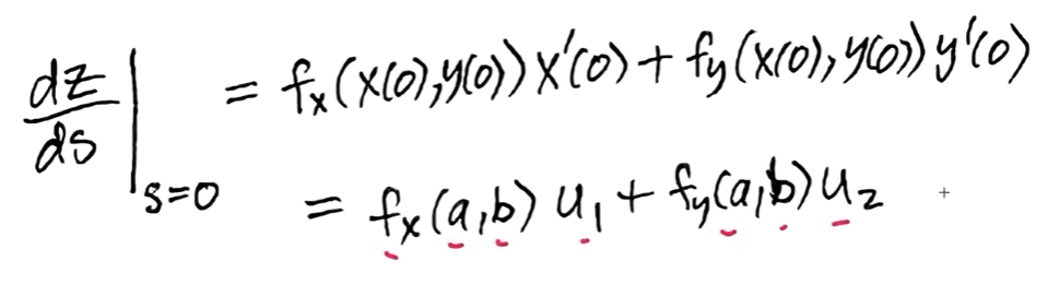
Directional derivative formula (including notation)

Expanded form of the directional derivative formula

Parametric equations that the directional derivative formula represents
(s = arc length)

Line that these parametric equations represent

What the directional derivative represents
The slope in the z-direction along the tangent plane to the surface at a given point, as you move in the direction of a given unit vector (the slope varies by direction; regular partial derivatives only apply along the coordinate axes)


What must you do if you see a bar over u instead of a hat?
Find the magnitude of the u-bar vector
