1/22
Looks like no tags are added yet.
Name | Mastery | Learn | Test | Matching | Spaced | Call with Kai |
|---|
No analytics yet
Send a link to your students to track their progress
methyl salicylate

salicylic acid

acetylsalicylic acid

phosphoric acid

acetic anhydride

calmagite

benzil

methylene blue

quinizarin

ethyl acetate

ethanol

ethyl ether

chloroform

methyl benzoylformate

methyl mandelate

1R, 2S)-(-)-ephedrine

mandelic acid

(1R, 2S)-(-)-ephedrine.hydrochloride

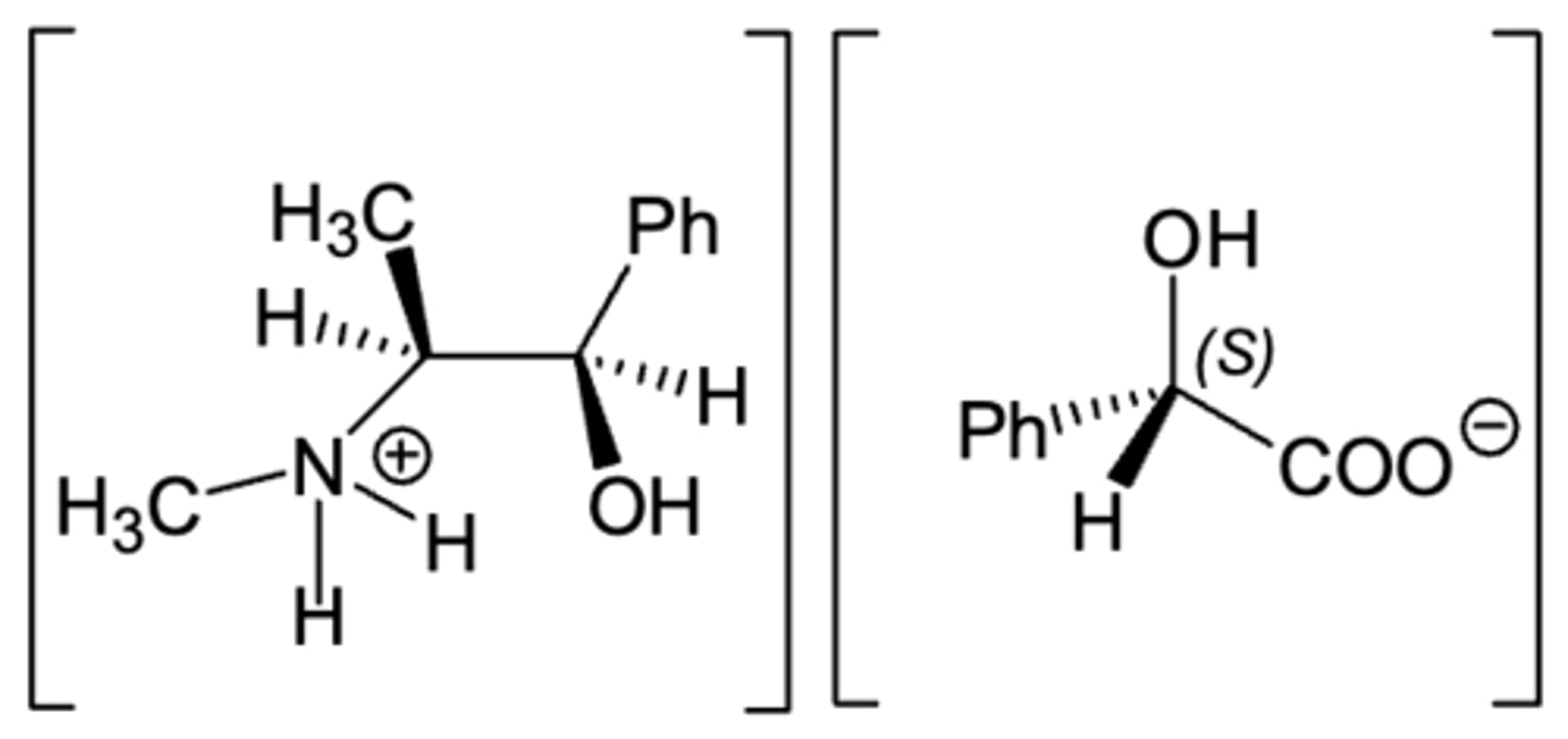
(1R,2S)-(-) ephedrine-(S)-(+)-mandelate

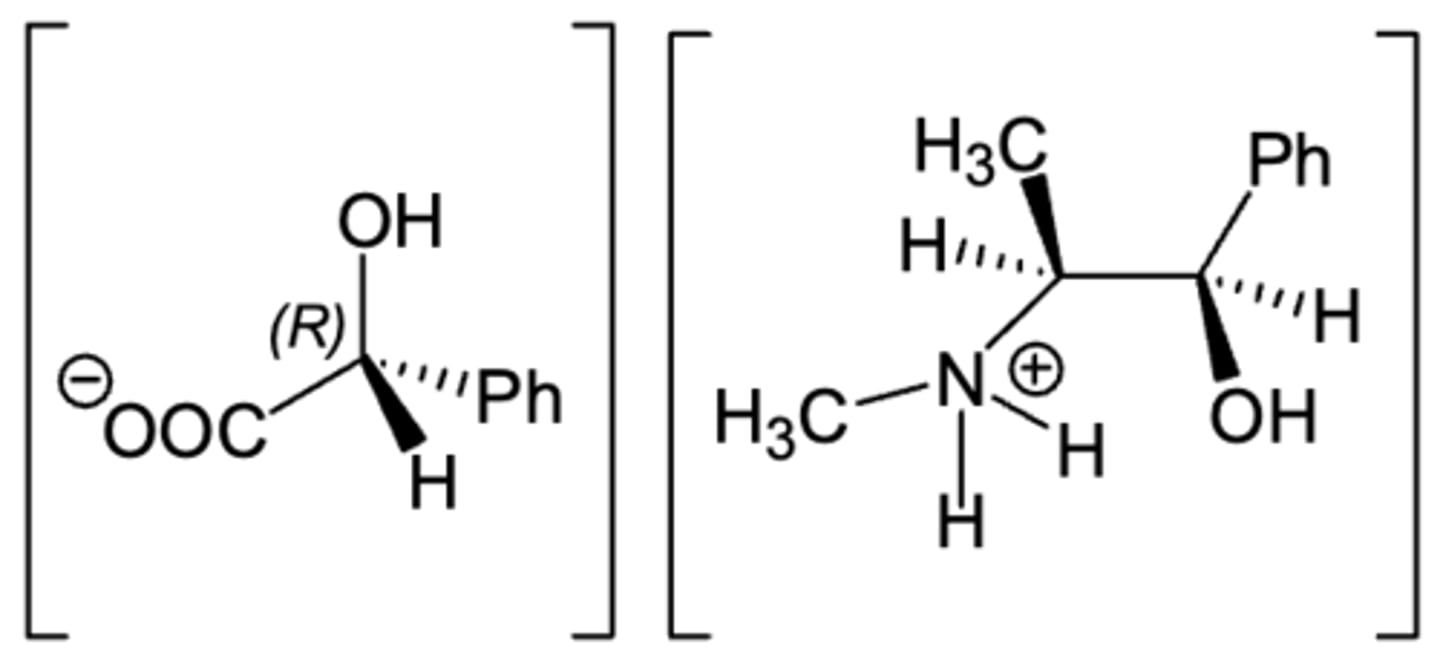
(1R,2S)-(-) ephedrine-(R)-(-)-mandelate

acetylferrocene

ferrocene

L- tartaric acid
