1/30
Looks like no tags are added yet.
Name | Mastery | Learn | Test | Matching | Spaced | Call with Kai |
|---|
No analytics yet
Send a link to your students to track their progress
Sequence
an arrangement of any objects or a set of numbers in a particular order followed by some rule. If a1 , a2 , a3 , a4 ,…etc. denote the terms of a sequence, then 1,2,3,4,…..denotes the position of the term.
Leonardo of Pisa
Nickname: Fibonacci
the son of Bonacci or son of farmer
Filius Bonacci means?
Liber Abaci
The title of Pisano’s book, it translates “The Book of Calculation” in English.
Fibonacci numbers
Fibonacci Sequence is also known as?
Fibonacci Sequence
It is defined as the sequence of numbers in which each number in the sequence is equal to the sum of two numbers before it.
1.618
Golden Ratio is equal to? ➢It is a special number. The approximate value of the golden ratio.
FILIUS BONACCI
He referred himself to be called __, which means the son of Bonacci
𝛗 𝐎𝐑 𝚽
The Greek symbol that represents the golden ratio.

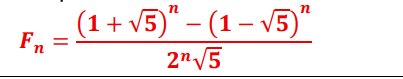
The formula of the Fibonacci sequence.
Rabbits
The animals that Pisano studied for the Fibonacci sequence.
Phi
What Greek letter is used for Golden ratio?
LEONARDO PISANO
What is the true name of Fibonacci?
N
The symbol of natural numbers.
Leonardo Pisano
What is the true name of Fibonacci?
Whole numbers
It is a set of numbers with zero and positive integers.
Q
The symbol of rational numbers.
Sequence
It is an arrangement if any objects or a set of numbers in a particular order followed by some rules.
Z prime
The symbol of non-integers
W
The symbol of whole numbers.
1.618
The approximate value of the golden ratio.
Rational numbers
This set of numbers is expressible as a fraction p/q, where q is not 0. They have terminating or repeating decimal representations.
Rabbits
The animals that Pisano studies for the Fibonacci sequence.
Natural numbers
This is a set of numbers that starts at 1, 2, 3, and so on.
Filius Bonacci
He referred himself to be called ____, which means the son of Bonacci.
Fibonacci sequence
A type of sequence that each number obtained by adding the last two numbers to get the next term.
Q prime
The symbol of irrational numbers.
Irrational numbers
This set of numbers cannot be expressed as a fraction and have non-terminating or non-repeating decimal representations.
Integer
The term is derived directly from Latin, meaning “intact”.
Z
The symbol of integers.
Liber Abaci
The title of Pisano’s book, it translates “The book of Calculation” in English.