1.1 Quadratics

0.0(0)
studied byStudied by 8 people
call kaiCall Kai
learnLearn
examPractice Test
spaced repetitionSpaced Repetition
heart puzzleMatch
flashcardsFlashcards
GameKnowt Play
Card Sorting

1/17

flashcard set

Earn XP

Description and Tags

[ PURE 1 ] 1) Solving Quadratic equations 2) Quadratic Inequalities 3) Completing the square 4)Nature of the roots

Last updated 11:34 AM on 10/9/25
Name
Mastery
Learn
Test
Matching
Spaced
Call with Kai

No analytics yet

Send a link to your students to track their progress

18 Terms

1
New cards
In the equation, what is the value of a
In the equation, what is the value of a
a = -1
2
New cards
In the equation what is the value of b
In the equation what is the value of b
b = (4+m)
3
New cards
In the equation what is the value of c
In the equation what is the value of c
c = 13
4
New cards
What are the different methods of solving a quadratic?

1. Factoring middle term
2. Quadratic formula
3. Calculator method
5
New cards
How do you solve the equation
How do you solve the equation
Take u = x^2 and u^2 = x^6

x=0.87358 and x=-1.4422
6
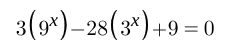
New cards
Solve the equation
Solve the equation
Take

3^x = u

3^2x = u^2

(3^2)^x = u^2

9^x = u^2
7
New cards
What are the values of x called?
What are the values of x called?
The x-intercepts
8
New cards
1 Shaded area is equal to ______
1 answer
9
New cards
2 shaded areas are equal to ______
2 answers
10
New cards
Solve the Quadratic Inequality
Solve the Quadratic Inequality
knowt flashcard image
11
New cards
Solve the Quadratic Inequality
Solve the Quadratic Inequality
knowt flashcard image
12
New cards
Complete the square
Complete the square
knowt flashcard image
13
New cards
What is the Discriminant?
knowt flashcard image
14
New cards
When the roots are real and distinct

OR

The line intersects the curve at two points
When the roots are real and distinct

OR

The line intersects the curve at two points
Value will always be positive
Value will always be positive
15
New cards
When the roots are real and equal (one real root)

OR

The line is a tangent to the curve
When the roots are real and equal (one real root)

OR

The line is a tangent to the curve
knowt flashcard image
16
New cards
No real root

OR 

The line does not intersect the curve

OR

The curve is above the x-axis
No real root

OR

The line does not intersect the curve

OR

The curve is above the x-axis
Value will always be negative
Value will always be negative
17
New cards
The roots are real

OR

The line intersects the curve
(Does not mention how many times it touches the curve)
(Does not mention how many times it touches the curve)
18
New cards
term image
k = -9 and k = -5