The Structure of Amorphous Solids and Polymers

0.0(0)
studied byStudied by 1 person
0.0(0)
full-widthCall Kai
learnLearn
examPractice Test
spaced repetitionSpaced Repetition
heart puzzleMatch
flashcardsFlashcards
GameKnowt Play
Card Sorting

1/17

flashcard set

Earn XP

Description and Tags

MSE 2001 HW 9

Study Analytics
Name
Mastery
Learn
Test
Matching
Spaced

No study sessions yet.

18 Terms

1
New cards

Which of these statements is NOT true about glasses?

Adding chemical modifiers to SiO2 glass strengthens the bonding in the glass network and usually raises the glass transition temperature.

2
New cards

Compared to a completely amorphous polymer of the same composition, a semi-crystalline polymer is expected to:

 

(I)   have greater optical transparency.

(II)  show improved stability to higher operating temperatures.

(III) appear more uniformly colored after dying.

(IV) exhibit a higher elastic modulus.

(V)  be a better vapor barrier when used in food packaging.


(II), (IV), and (V)

3
New cards

How would you best describe the structure of this polymer?  (Assume the different colored spheres represent different monomer chemistries.)


Grafted copolymer

4
New cards

What kind of tacticity does this polypropylene chain have? 


Syndiotactic

5
New cards

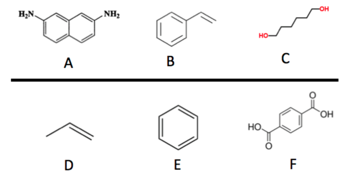
Which of these monomers, when used in a step-growth reaction, would definitely form a thermoset polymer?

 

Monomer C

6
New cards

In window glass, silicon is

tetrahedrally coordinated to 4 oxygens.

7
New cards

Semicrystalline polymers are opaque because

the crystallites scatter light.

8
New cards

Adding cross-links to a polymer will...

will make the polymer more rigid.

9
New cards

If two solid glasses have identical compositions, they will also have identical properties.

False

10
New cards

Which of these polymers is LEAST likely to crystallize.


Polysytrene [C2H3(C6H5)]n

11
New cards

"Super balls" that bounce really high are an example of...

a thermoset polymer with its Tg below room temperature.

12
New cards

The glass transition temperature is always below the melting temperature of a material.

True

13
New cards

 Which of these monomers could be used for a free radical, chain growth polymerization? (Choose ALL that could be used)

Both B and D

14
New cards

Amorphous solids have short range order.

True

15
New cards

Hydrogels dissolve in water.

False

16
New cards

Ceramic glasses A and B have the same composition but glass A has a higher fictive temperature than glass B.  Which of these statements could be accurate about these two glasses?

Glass A was quenched from a higher temperature than glass B, leading to glass A being less dense than glass B.

17
New cards

Adding a PbO modifier to SiO2 glass will result in a new glass that has...

...a higher refractive index and a lower glass transition temperature than pure SiO2 glass.

18
New cards

Which of these techniques could be used to probe the short range order in window glass?

B. Using x-ray scattering to collect a radial distribution function.

Explore top flashcards

BPH
Updated 628d ago
flashcards Flashcards (36)
Unit 7 Vocab
Updated 666d ago
flashcards Flashcards (24)
AMENDMENTS
Updated 231d ago
flashcards Flashcards (22)
Avancemos 2 U4.1
Updated 330d ago
flashcards Flashcards (37)
Monatomic ioons
Updated 802d ago
flashcards Flashcards (30)
The CNSS Model
Updated 259d ago
flashcards Flashcards (20)
chem stu guide 1
Updated 921d ago
flashcards Flashcards (80)
BPH
Updated 628d ago
flashcards Flashcards (36)
Unit 7 Vocab
Updated 666d ago
flashcards Flashcards (24)
AMENDMENTS
Updated 231d ago
flashcards Flashcards (22)
Avancemos 2 U4.1
Updated 330d ago
flashcards Flashcards (37)
Monatomic ioons
Updated 802d ago
flashcards Flashcards (30)
The CNSS Model
Updated 259d ago
flashcards Flashcards (20)
chem stu guide 1
Updated 921d ago
flashcards Flashcards (80)