Final

0.0(0)
studied byStudied by 0 people
0.0(0)
full-widthCall with Kai
GameKnowt Play
New
learnLearn
examPractice Test
spaced repetitionSpaced Repetition
heart puzzleMatch
flashcardsFlashcards
Card Sorting

1/90

encourage image

There's no tags or description

Looks like no tags are added yet.

Study Analytics
Name
Mastery
Learn
Test
Matching
Spaced

No study sessions yet.

91 Terms

1
New cards

B

Which of the following statements about radicals and radical reactions is not true?

A) Most radicals are unstable.

B) A radical contains an atom that has an octet of electrons

C) Half-headed arrows are used to show the movement of lone electrons.

D) A radical is formed by homolysis of a covalent bond.

2
New cards

A

Which of the following statements about carbon radicals is not true?

A) Carbon radicals are classified as primary, secondary, tertiary, or quaternary.

B) A carbon radical is sp2 hybridized.

C) The geometry of a carbon radical is trigonal planar.

D) The unhybridized p orbital in a carbon radical contains the unpaired electron

3
New cards

D

Which of the following statements about radicals is true?

A) Cleavage of a stronger bond forms the more stable radical.

B) The stability of a radical increases as the number of alkyl groups bonded to the

radical carbon decreases.

C) The higher the bond dissociation energy for a C-H bond, the more stable the

resulting carbon radical.

D) Less stable radicals generally do not rearrange to more stable radicals.

4
New cards

C

Which of the following compounds contain primary (1°) radical carbons?

A) Only I

B) Only II

C) Only III

D) Only II and IV

<p>Which of the following compounds contain primary (1°) radical carbons?</p><p>A) Only I</p><p>B) Only II</p><p>C) Only III</p><p>D) Only II and IV</p>
5
New cards

D

Which of the following compounds contain secondary (2°) radical carbons?

A) Only I

B) Only II

C) Only III

D) Only II and IV

<p>Which of the following compounds contain secondary (2°) radical carbons?</p><p>A) Only I</p><p>B) Only II</p><p>C) Only III</p><p>D) Only II and IV</p>
6
New cards

A

Which of the following compounds contain tertiary (3°) radical carbons?

A) Only I

B) Only II

C) Only III

D) Only II and IV

<p>Which of the following compounds contain tertiary (3°) radical carbons?</p><p>A) Only I</p><p>B) Only II</p><p>C) Only III</p><p>D) Only II and IV</p>
7
New cards

B

Which of the following is a radical scavenger?

A) O3

B) O2

C) Vitamin C

D) CO2

8
New cards

C

How many monochlorination products can be formed (constitutional isomers only) from

the reaction of (CH3)2CHCH2CH3 with Cl2 and hv?

A) 2 B) 3 C) 4 D) 5

<p>How many monochlorination products can be formed (constitutional isomers only) from</p><p>the reaction of (CH3)2CHCH2CH3 with Cl2 and hv?</p><p>A) 2 B) 3 C) 4 D) 5</p>
9
New cards

A

How many monochlorination products can be formed (constitutional isomers only) from

the reaction of CH3CH2CH2CH2CH2CH3 with Cl2 and hv?

A) 3 B) 4 C) 5 D) 6

<p>How many monochlorination products can be formed (constitutional isomers only) from</p><p>the reaction of CH3CH2CH2CH2CH2CH3 with Cl2 and hv?</p><p>A) 3 B) 4 C) 5 D) 6</p>
10
New cards

B

How many monochlorination products can be formed from the reaction of (CH3)3CH

with Cl2 and hv?

A) 1 B) 2 C) 3 D) 4

<p>How many monochlorination products can be formed from the reaction of (CH3)3CH</p><p>with Cl2 and hv?</p><p>A) 1 B) 2 C) 3 D) 4</p>
11
New cards

D

Which of the following statements about radical reactions is not true?

A) Light or heat provides the energy needed for homolytic bond cleavage to form

radicals.

B) Breaking the weak O-O bond of peroxides initiates radical reactions.

C) The diradical O2 removes radicals from a reaction mixture.

D) Radicals rearrange.

12
New cards

B

Which step is the rate-determining step in the mechanism of radical halogenation?

A) Initiation

B) Propagation

C) Termination

D) Initiation and Propagation

13
New cards

A

Which of the following statements about the propagation steps in the chlorination of

ethane is true?

A) Radical chlorination consists of two propagation steps.

B) The energy diagram for the propagation steps has three energy barriers.

C) The first of the propagation steps is rate-determining because its transition state is

at lower energy.

D) The second of the propagation steps is rate-determining because its transition state

is at higher energy.

14
New cards

C

Which of the following statements about chlorination and bromination is true?

A) Bromination is unselective, yielding a mixture of products.

B) Chlorination is often selective, yielding one major product.

C) Chlorination is faster than bromination.

D) Bromination is faster than chlorination.

15
New cards

D

Which of the following statements about bromination is true?

A) The rate-determining step in bromination is exothermic.

B) Both radicals are formed.

C) A mixture of products results.

D) A single radical halogenation product predominates.

16
New cards

D

Which of the following statements about chlorination is true?

A) The rate-determining step in chlorination is endothermic.

B) The transition state resembles the product.

C) The more stable radical is formed faster.

D) A mixture of products results.

17
New cards

B

What is the product in the following sequence of reactions?

A) I B) II C) III D) IV

<p>What is the product in the following sequence of reactions?</p><p>A) I B) II C) III D) IV</p>
18
New cards

A

What is the product in the following sequence of reactions?

A) I B) II C) III D) IV

<p>What is the product in the following sequence of reactions?</p><p>A) I B) II C) III D) IV</p>
19
New cards

D

Which of the following statements about the stereochemistry of halogenation reactions

is true?

A) An achiral starting material always gives an achiral product only.

B) An achiral starting material always gives a racemic product only.

C) The configuration at a stereogenic center of a product must change even if a

reaction does not occur at a stereogenic center.

D) An achiral starting material always gives either an achiral or a racemic product.

20
New cards

B

How many monochlorination products (constitutional isomers and stereoisomers) are

formed from the reaction of butane with Cl2 and hn?

A) 2 B) 3 C) 4 D) 5

21
New cards

C

How many monochlorination products (constitutional isomers and stereoisomers) are

formed from the reaction of pentane with Cl2 and hv?

A) 2 B) 3 C) 4 D) 5

22
New cards

C

Rank the following radicals in order of increasing stability, putting the least stable first.

A) III < I < II

B) I < II < III

C) III < II < I

D) I < III < II

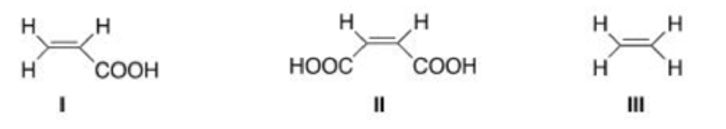
<p>Rank the following radicals in order of increasing stability, putting the least stable first.</p><p>A) III &lt; I &lt; II</p><p>B) I &lt; II &lt; III</p><p>C) III &lt; II &lt; I</p><p>D) I &lt; III &lt; II</p>
23
New cards

A

Rank the following radicals in order of decreasing stability, putting the most stable first.

A) II > IV > III > I

B) III > II > IV > I

C) IV > III > II > I

D) IV > III > I > II

<p>Rank the following radicals in order of decreasing stability, putting the most stable first.</p><p>A) II &gt; IV &gt; III &gt; I</p><p>B) III &gt; II &gt; IV &gt; I</p><p>C) IV &gt; III &gt; II &gt; I</p><p>D) IV &gt; III &gt; I &gt; II</p>
24
New cards

D

What is the product of the following reaction?

A) I B) II C) III D) IV

<p>What is the product of the following reaction?</p><p>A) I B) II C) III D) IV</p>
25
New cards

B

What is the product of the following reaction?

A) I B) II C) III D) IV

<p>What is the product of the following reaction?</p><p>A) I B) II C) III D) IV</p>
26
New cards

D

How many allylic halides can be formed when 3-methycyclohexene undergoes allylic

halogenation with one equivalent of NBS and light?

A) 1 B) 2 C) 3 D) 4

27
New cards

A

What is the product of the following reaction?

A) I B) II C) III D) IV

<p>What is the product of the following reaction?</p><p>A) I B) II C) III D) IV</p>
28
New cards

A

Identify the monomer used to make the following polymer.

A) I B) II C) III D) IV

<p>Identify the monomer used to make the following polymer.</p><p>A) I B) II C) III D) IV</p>
29
New cards

B

Identify the monomer used to make the following polymer.

A) I B) II C) III D) IV

<p>Identify the monomer used to make the following polymer.</p><p>A) I B) II C) III D) IV</p>
30
New cards

C

Identify the monomer used to make the following polymer.

A) I B) II C) III D) IV

<p>Identify the monomer used to make the following polymer.</p><p>A) I B) II C) III D) IV</p>
31
New cards

D

Determine the monochlorination product(s)

A) Only I

B) Only II

C) Only III

D) Only I and II

<p>Determine the monochlorination product(s)</p><p>A) Only I</p><p>B) Only II</p><p>C) Only III</p><p>D) Only I and II</p>
32
New cards

D

Determine the product of the following reaction.

A) I

B) II

C) III

D) IV

<p>Determine the product of the following reaction.</p><p>A) I</p><p>B) II</p><p>C) III</p><p>D) IV</p>
33
New cards

D

Determine the product(s) of the following reaction.

A) Only I

B) Only II

C) Only III

D) Only I and II

<p>Determine the product(s) of the following reaction.</p><p>A) Only I</p><p>B) Only II</p><p>C) Only III</p><p>D) Only I and II</p>
34
New cards

D

Which of the following statements is (are) true about free radical halogenation of

alkanes?

A) The first of the chain-propagating steps is rate-determining.

B) The reaction proceeds by way of a flat sp2 hybridized free radical.

C) The chain-initiating step involves cleavage of a carbon-hydrogen bond to afford a

carbon radical and a hydrogen atom.

D) Statements (The first of the chain-propagating steps is rate-determining) and (The

reaction proceeds by way of a flat sp2 hybridized free radical) are both true.

35
New cards

B

Which of the labeled hydrogens is most easily abstracted in a free radical bromination

reaction?

A) Ha

B) Hb

C) Hc

D) Hd

<p>Which of the labeled hydrogens is most easily abstracted in a free radical bromination</p><p>reaction?</p><p>A) Ha</p><p>B) Hb</p><p>C) Hc</p><p>D) Hd</p>
36
New cards

C

Which of the indicated hydrogens is most readily abstracted in a free radical

halogenation reaction?

A) I

B) II

C) III

D) IV

<p>Which of the indicated hydrogens is most readily abstracted in a free radical</p><p>halogenation reaction?</p><p>A) I</p><p>B) II</p><p>C) III</p><p>D) IV</p>
37
New cards

A

This reaction could conceivably occur by the following chain mechanisms [1], [2], and

[3]. The chain initiating step(s) is (are) _____.

A) Only [1]

B) Only [2]

C) Only [3]

D) Only [1] and [2]

<p>This reaction could conceivably occur by the following chain mechanisms [1], [2], and</p><p>[3]. The chain initiating step(s) is (are) _____.</p><p>A) Only [1]</p><p>B) Only [2]</p><p>C) Only [3]</p><p>D) Only [1] and [2]</p>
38
New cards

B

This reaction could conceivably occur by the following chain mechanisms [1], [2], and

[3]. The chain propagating step(s) is (are) _______.

A) Only [1] and [2] B) Only [2] and [3] C) Only [1] and [3] D) Only [3]

<p>This reaction could conceivably occur by the following chain mechanisms [1], [2], and</p><p>[3]. The chain propagating step(s) is (are) _______.</p><p>A) Only [1] and [2] B) Only [2] and [3] C) Only [1] and [3] D) Only [3]</p>
39
New cards

B

Determine ∆H for step 1

A) -5 kcal/mol

C) -28 kcal/mol

B) +58 kcal/mol

D) None of the choices are correct.

<p>Determine ∆H for step 1</p><p>A) -5 kcal/mol</p><p>C) -28 kcal/mol</p><p>B) +58 kcal/mol</p><p>D) None of the choices are correct.</p>
40
New cards

A

Determine ∆H for step 2

A) -5 kcal/mol

C) -28 kcal/mol

B) +58 kcal/mol

D) None of the choices are correct.

<p>Determine ∆H for step 2</p><p>A) -5 kcal/mol</p><p>C) -28 kcal/mol</p><p>B) +58 kcal/mol</p><p>D) None of the choices are correct.</p>
41
New cards

D

Select the route that would most likely produce the desired results from the given

starting material.

I. (1) H2SO4 and heat; (2) HBr

II. (1) KOH in ethanol; (2) HBr

III. (1) H2SO4 and heat; (2) HBr + peroxides

IV. (1) potassium tert-butoxide in tert-butanol; (2) HBr + peroxides

A) I B) II C) III D) IV

<p>Select the route that would most likely produce the desired results from the given</p><p>starting material.</p><p>I. (1) H2SO4 and heat; (2) HBr</p><p>II. (1) KOH in ethanol; (2) HBr</p><p>III. (1) H2SO4 and heat; (2) HBr + peroxides</p><p>IV. (1) potassium tert-butoxide in tert-butanol; (2) HBr + peroxides</p><p>A) I B) II C) III D) IV</p>
42
New cards

D

What type of reactive intermediate is formed in the reaction of propene with Nbromosuccinimide

(NBS) to give 3-bromo-1-propene?

A) Cyclic bromonium ion

B) Allylic carbocation

C) Allylic carbanion

D) Allylic radical

43
New cards

A

Which of the following alkenes undergoes allylic bromination to form a single

monobrominated product?

A) I B) II C) III D) IV

<p>Which of the following alkenes undergoes allylic bromination to form a single</p><p>monobrominated product?</p><p>A) I B) II C) III D) IV</p>
44
New cards

C

Which of the following dienes contain conjugated double bonds?

A. Only I and II

B. Only II and III

C. Only I and III

D. Only II and IV

<p>Which of the following dienes contain conjugated double bonds?</p><p>A. Only I and II</p><p>B. Only II and III</p><p>C. Only I and III</p><p>D. Only II and IV</p>
45
New cards

D

Which of the following dienes contain isolated double bonds?

A. Only I and II

B. Only II and III

C. Only I and III

D. Only II and IV

<p>Which of the following dienes contain isolated double bonds?</p><p>A. Only I and II</p><p>B. Only II and III</p><p>C. Only I and III</p><p>D. Only II and IV</p>
46
New cards

B

Which of the following statements about resonance structures is true?

A. The placement of atoms is different.

B. The placement of p bonds is different.

C. The placement of s bonds is different.

D. The placement of nonbonded electrons is the same.

47
New cards

B

What is the hybridization around the indicated carbon atom in the following anion?

A. sp3

B. sp2

C. sp

D. p

<p>What is the hybridization around the indicated carbon atom in the following anion?</p><p>A. sp3</p><p>B. sp2</p><p>C. sp</p><p>D. p</p>
48
New cards

B

What is the hybridization around the indicated oxygen atom in the following anion?

A. sp3

B. sp2

C. sp

D. p

<p>What is the hybridization around the indicated oxygen atom in the following anion?</p><p>A. sp3</p><p>B. sp2</p><p>C. sp</p><p>D. p</p>
49
New cards

B

Which of the following is (are) conjugated dienes?

A. Only I

B. Only II

C. Only I and II

D. I, II, and III

<p>Which of the following is (are) conjugated dienes?</p><p>A. Only I</p><p>B. Only II</p><p>C. Only I and II</p><p>D. I, II, and III</p>
50
New cards

D

Which of the following compounds is conjugated?

A. I

B. II

C. III

D. IV

<p>Which of the following compounds is conjugated?</p><p>A. I</p><p>B. II</p><p>C. III</p><p>D. IV</p>
51
New cards

C

Which of the following conjugated dienes represent two conformations?

A. Only I and II

B. Only I and III

C. Only II and III

D. None of the choices

<p>Which of the following conjugated dienes represent two conformations?</p><p>A. Only I and II</p><p>B. Only I and III</p><p>C. Only II and III</p><p>D. None of the choices</p>
52
New cards

III > I > II

Rank the following dienes in order of decreasing heat of hydrogenation, putting the diene with the highest heat of hydrogenation first.

<p>Rank the following dienes in order of decreasing heat of hydrogenation, putting the diene with the highest heat of hydrogenation first.</p>
53
New cards

I < II < III

Rank the following compounds in order of increasing stability, putting the least stable first.

<p>Rank the following compounds in order of increasing stability, putting the least stable first.</p>
54
New cards

D

What is the reactive intermediate in the reaction of 1,3-diene with HBr, resulting in 1,4-addition?

A. Allylic radical

B. Cyclic bromonium

C. Dienophile

D. Allylic carbocation

55
New cards

B

Which of the following is the appropriate term for the mechanism of the addition of HBr to 1,3-dienes?

A. Nucleophilic addition

B. Electrophilic addition

C. Free radical addition

D. Conjugate addition

56
New cards

B

What is (are) the major product(s) of the following reaction?

A. Only I

B. Only II and IV

C. Only I and III

D. Only I, II, and III

<p>What is (are) the major product(s) of the following reaction?</p><p>A. Only I</p><p>B. Only II and IV</p><p>C. Only I and III</p><p>D. Only I, II, and III</p>
57
New cards

D

What is (are) the major product(s) of the following reaction?

A. Only I

B. Only I and III

C. Only II and IV

D. Only I, II, and III

<p>What is (are) the major product(s) of the following reaction?</p><p>A. Only I</p><p>B. Only I and III</p><p>C. Only II and IV</p><p>D. Only I, II, and III</p>
58
New cards

C

What is (are) the major product(s) of the following reaction?

A. Only I

B. Only II

C. Only I and II

D. I, II, and III

<p>What is (are) the major product(s) of the following reaction?</p><p>A. Only I</p><p>B. Only II</p><p>C. Only I and II</p><p>D. I, II, and III</p>
59
New cards

D

Which of the following is not a product obtained from the addition of 1 equivalent of HBr to (E)-1,3-pentadiene?

A. (E)-4-Bromo-2-pentene

B. (E)-1-Bromo-2-pentene

C. 3-Bromo-1-pentene

D. (E)-3-Bromo-2-pentene

60
New cards

B

What is the thermodynamic product obtained from the addition of 1 equivalent of HBr to 1,3-butadiene?

A. 3-Bromo-1-butene

B. 1-Bromo-2-butene

C. 2-Bromo-2-butene

D. 2-Bromo-1-butene

61
New cards

A

What is the kinetic product obtained from the addition of 1 equivalent of HBr to 1,3-butadiene?

A. 3-Bromo-1-butene

B. 1-Bromo-2-butene

C. 2-Bromo-2-butene

D. 2-Bromo-1-butene

62
New cards

B

Which of the following statements about kinetic vs. thermodynamic products is true?

A. The product that is formed faster is the thermodynamic product.

B. The kinetic product predominates at low temperature.

C. The product that predominates at equilibrium is the kinetic product.

D. The thermodynamic product is less stable.

63
New cards

A

Which of the following statements about the mechanism of the Diels-Alder reaction is true?

A. Three π bonds break; two σ bonds and one π bond form.

B. Three π bonds break; one σ bond and two π bonds form.

C. Two π bonds break; one σ bond and one π bond form.

D. Two π bonds break; two σ bonds and one π bond form.

64
New cards

A

Which of the following is not a feature of the Diels-Alder reaction?

A. They are initiated by peroxides.

B. They form new six-membered rings.

C. Three π bonds break.

D. They are concerted.

65
New cards

III < I < II

Rank the following dienes in order of increasing reactivity in a Diels-Alder reaction, listing the least reactive first.

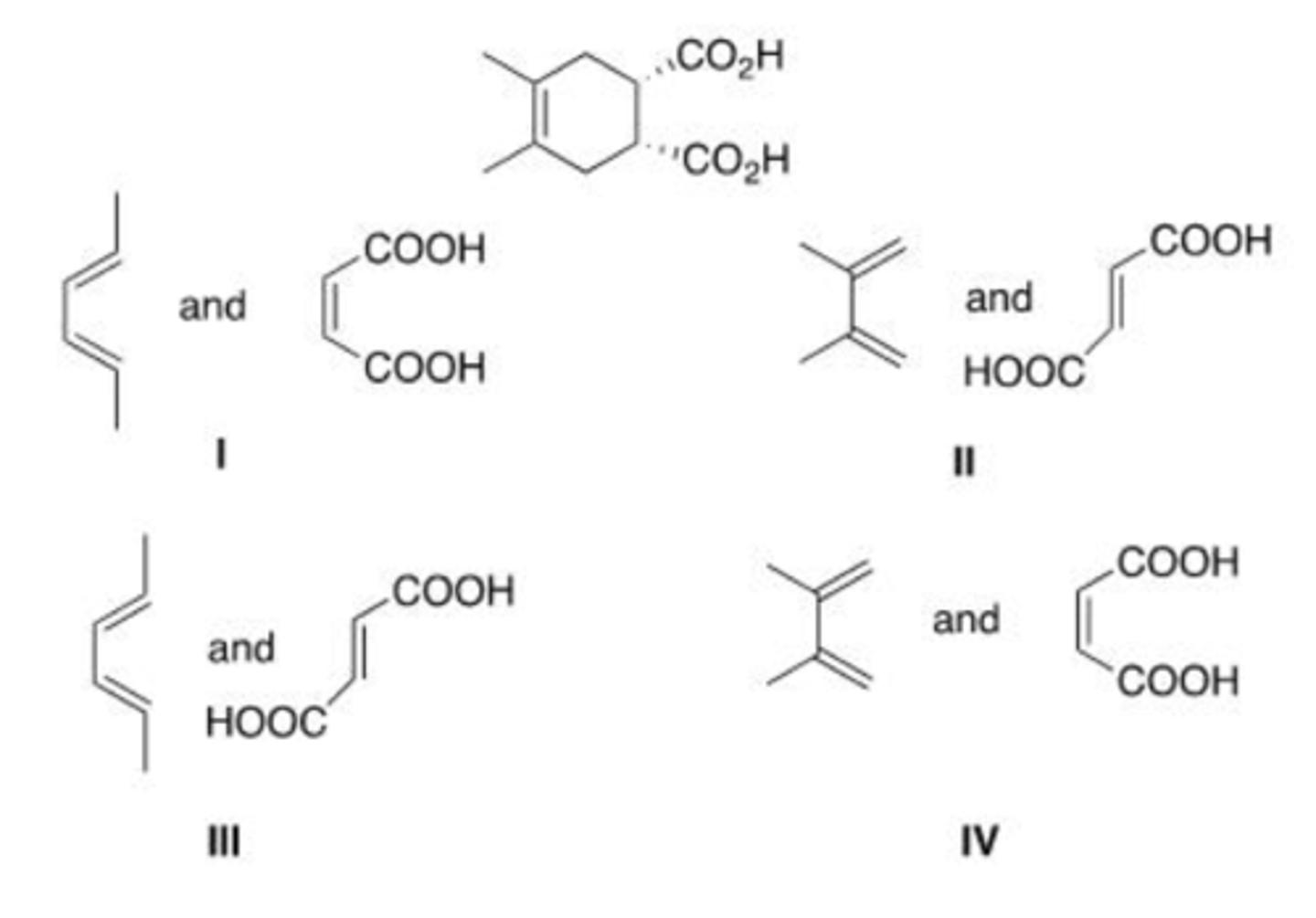
<p>Rank the following dienes in order of increasing reactivity in a Diels-Alder reaction, listing the least reactive first.</p>
66
New cards

D

Which of the following is the least reactive diene in a Diels-Alder reaction?

A. I

B. II

C. III

D. IV

<p>Which of the following is the least reactive diene in a Diels-Alder reaction?</p><p>A. I</p><p>B. II</p><p>C. III</p><p>D. IV</p>
67
New cards

D

Which of the following statements about the Diels-Alder reaction is true?

A. The diene can react only when it adopts the s-trans conformation.

B. Electron-withdrawing substituents in the diene increase reaction rate.

C. Electron-donating substituents in the dienophile increase the reaction rate.

D. The stereochemistry of the dienophile is retained in the product.

68
New cards

III < I < II

Rank the following dienophile in order of increasing reactivity in a Diels-Alder reaction, listing the least reactive first.

<p>Rank the following dienophile in order of increasing reactivity in a Diels-Alder reaction, listing the least reactive first.</p>
69
New cards

D

Which of the following compounds is the least reactive dienophile in a Diels-Alder reaction?

A. I

B. II

C. III

D. IV

<p>Which of the following compounds is the least reactive dienophile in a Diels-Alder reaction?</p><p>A. I</p><p>B. II</p><p>C. III</p><p>D. IV</p>
70
New cards

C

Which of the following compounds is the most reactive dienophile in a Diels-Alder reaction?

A. I

B. II

C. III

D. IV

<p>Which of the following compounds is the most reactive dienophile in a Diels-Alder reaction?</p><p>A. I</p><p>B. II</p><p>C. III</p><p>D. IV</p>
71
New cards

D

Which of the following is the most reactive diene in a Diels-Alder reaction?

A. I

B. II

C. III

D. IV

<p>Which of the following is the most reactive diene in a Diels-Alder reaction?</p><p>A. I</p><p>B. II</p><p>C. III</p><p>D. IV</p>
72
New cards

C

Which of the following is the least reactive diene in a Diels-Alder reaction?

A. I

B. II

C. III

D. IV

<p>Which of the following is the least reactive diene in a Diels-Alder reaction?</p><p>A. I</p><p>B. II</p><p>C. III</p><p>D. IV</p>
73
New cards

D

What is the major organic product of the following reaction?

A. I

B. II

C. III

D. IV

<p>What is the major organic product of the following reaction?</p><p>A. I</p><p>B. II</p><p>C. III</p><p>D. IV</p>
74
New cards

C

What is the major organic product of the following reaction?

A. Only I

B. Only II

C. Only III

D. Only I and II

<p>What is the major organic product of the following reaction?</p><p>A. Only I</p><p>B. Only II</p><p>C. Only III</p><p>D. Only I and II</p>
75
New cards

D

What is the major organic product of the following reaction?

A. Only I

B. Only II

C. Only III

D. Only I and II

<p>What is the major organic product of the following reaction?</p><p>A. Only I</p><p>B. Only II</p><p>C. Only III</p><p>D. Only I and II</p>
76
New cards

A

What is the major organic product of the following reaction?

A. Only I

B. Only I and II

C. Only II and III

D. I, II, and III

<p>What is the major organic product of the following reaction?</p><p>A. Only I</p><p>B. Only I and II</p><p>C. Only II and III</p><p>D. I, II, and III</p>
77
New cards

B

What is the major organic product of the following reaction?

A. I

B. II

C. III

D. IV

<p>What is the major organic product of the following reaction?</p><p>A. I</p><p>B. II</p><p>C. III</p><p>D. IV</p>
78
New cards

D

What is the major organic product of the following reaction?

A. I

B. II

C. III

D. IV

<p>What is the major organic product of the following reaction?</p><p>A. I</p><p>B. II</p><p>C. III</p><p>D. IV</p>
79
New cards

D

What diene and dienophile are used in a Diels-Alder reaction to prepare the following compound?

A. I

B. II

C. III

D. IV

<p>What diene and dienophile are used in a Diels-Alder reaction to prepare the following compound?</p><p>A. I</p><p>B. II</p><p>C. III</p><p>D. IV</p>
80
New cards

B

Which of the following compound absorbs UV light at the longest wavelength?

A. I

B. II

C. III

D. IV

<p>Which of the following compound absorbs UV light at the longest wavelength?</p><p>A. I</p><p>B. II</p><p>C. III</p><p>D. IV</p>
81
New cards

D

Which of the following compound absorbs UV light at the longest wavelength?

A. I

B. II

C. III

D. IV

<p>Which of the following compound absorbs UV light at the longest wavelength?</p><p>A. I</p><p>B. II</p><p>C. III</p><p>D. IV</p>
82
New cards

D

Which of the following electronic transitions is common in the UV spectrum of 1,3-butadiene?

A. s®p

B. s®p*

C. n ®p*

D. p®p*

83
New cards

C

What is the definition of a resonance structure?

A. Compounds with the same molecular formula.

B. Compounds with different carbon frameworks.

C. Structures that differ only in the placement of π and nonbonding electrons.

D. Structures that differ only in the location of bonds.

84
New cards

III > II > I

Rank the following anions from most to least stable, listing the most stable first.

<p>Rank the following anions from most to least stable, listing the most stable first.</p>
85
New cards

C

How would you favor the formation of the kinetic product of the following reaction?

A. Excess HBr

B. Long reaction time

C. Low temperature

D. High pressure

<p>How would you favor the formation of the kinetic product of the following reaction?</p><p>A. Excess HBr</p><p>B. Long reaction time</p><p>C. Low temperature</p><p>D. High pressure</p>
86
New cards

C

Which of the following is an example of a bridged bicyclic system?

A. I

B. II

C. III

D. IV

<p>Which of the following is an example of a bridged bicyclic system?</p><p>A. I</p><p>B. II</p><p>C. III</p><p>D. IV</p>
87
New cards

D

Why would the compound below not react with a dienophile in a Diels-Alder reaction?

A. The compound is not a conjugated diene.

B. There are no electron withdrawing groups on the compound.

C. There are no electron donating groups on the compound.

D. The compound cannot adopt the s-cis conformation.

<p>Why would the compound below not react with a dienophile in a Diels-Alder reaction?</p><p>A. The compound is not a conjugated diene.</p><p>B. There are no electron withdrawing groups on the compound.</p><p>C. There are no electron donating groups on the compound.</p><p>D. The compound cannot adopt the s-cis conformation.</p>
88
New cards

C

Which of the following is not a resonance structure of acetic anhydride?

A. I

B. II

C. III

D. IV

<p>Which of the following is not a resonance structure of acetic anhydride?</p><p>A. I</p><p>B. II</p><p>C. III</p><p>D. IV</p>
89
New cards

D

Which triene has the largest heat of hydrogenation?

A. I

B. II

C. III

D. IV

<p>Which triene has the largest heat of hydrogenation?</p><p>A. I</p><p>B. II</p><p>C. III</p><p>D. IV</p>
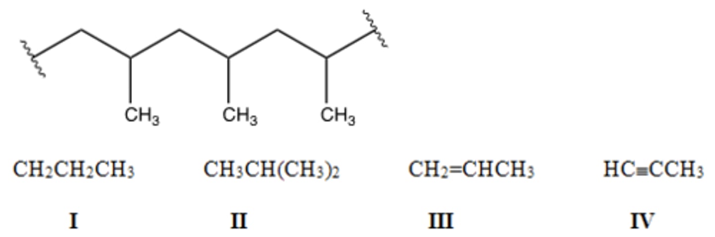
90
New cards

A

Which triene has the smallest heat of hydrogenation?

A. I

B. II

C. III

D. IV

<p>Which triene has the smallest heat of hydrogenation?</p><p>A. I</p><p>B. II</p><p>C. III</p><p>D. IV</p>
91
New cards

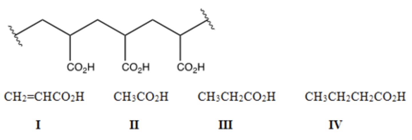
A

Which triene absorbs the longest wavelength of UV light?

A. I

B. II

C. III

D. IV

<p>Which triene absorbs the longest wavelength of UV light?</p><p>A. I</p><p>B. II</p><p>C. III</p><p>D. IV</p>