1/9
Looks like no tags are added yet.
Name | Mastery | Learn | Test | Matching | Spaced | Call with Kai |
|---|
No analytics yet
Send a link to your students to track their progress
Hydroxl
Polar

Methyl
Nonpolar

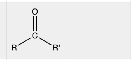
Carbonyl
Polar

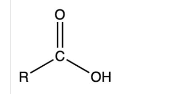
Carboxyl
Charged ionized to release H+, acidic

Amino
Charged, accepts H+ to form NH3, basic

Phosphate
Ionizes release H+ (P) , acidic

Sulfyanl
Moderatley Polar

pH= Pka
50% pronated
pH<Pka
Pronated (H+ dominates)

pH>Pka
depronated, A- doms
