1/38
Looks like no tags are added yet.
Name | Mastery | Learn | Test | Matching | Spaced | Call with Kai |
|---|
No analytics yet
Send a link to your students to track their progress
Electrochemical gradients have ___ parts
Two
What are counter ions inside the cell?
K+, Ca2+, H+
What are the counter ions outside of the cell?
Na+, Cl-
Exact balance of charges on each side of the membrane. Membrane Potential =
0
Potassium leak channels are important in establishing
membrane potential

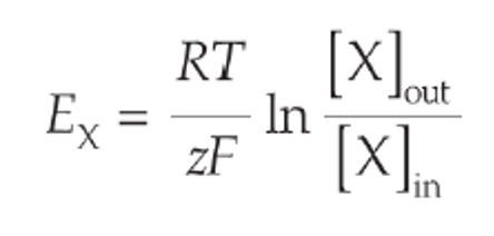
What equation is this?
Nernst Equation
What is the Nernst Equation used for?
understanding the relationship between membrane potential and ion concentration
What is the Goldman Equation used for?
understanding the combined effect of ions on membrane potential

What equation is this?
Goldman Equation
The membrane potential of a nerve or muscle cell at rest is
negative
What are the major contributors of membrane potential
Outside Na+ and Cl-
What are the key ideas of membrane potential
Inside K+ and macromolecular anions
Na+ / K+ pump and K+ leak channels are needed to
establish membrane potential
Potential differences exist when charges are
separated
membrane potentials present in all cell types, but neurons are
specialized
What are the type of specialized neurons?
dendrites
cell body
axon
myelin-sheath
Voltage Gated Na+ Channels can be
open, closed, or inactivated
When cells are adequately stimulated:
voltage-gated Na+ channels open
depolarization occurs
triggering the AP
Na+ channels are inactivated immediately following an
AP

What action potential is this?
Resting State

What action potential is this?
When the Threshold is REached

What action potential is this?
Depolarization to Repolarization

What action potential is this?
Hyperpolarization

What is this?
Influx or Efflux during an Action Potential

What is this?
Propagation of An Impulse Down an Axon
Neurotransmission: Jumping the Synaptic Cell
Presynaptic neurons communicate with postsynaptic neurons
Neurotransmitters allow an electrical signal to become a chemical signal
Presynaptic neurons communicate with postsynaptic neurons
synapse
across a gap (synaptic cleft)
Neurotransmitters allow an electrical signal to become a chemical signal
different from neuron to neuron
made in the cell body and packaged into vesicles that travel to the axon
What are the two types of neurotransmitter receptors?
Metabotropic
Ionotropic
Ionotropic
ligated gated ion channels
Some neurotransmitter receptors lead to ___ while others inhibit _____
depolarization
Bound transmitter can
depolarize (excite) or
hyper polarize (inhibit) the postsynaptic cell
Transmitter action is terminated by
reuptake or
enzymatic breakdown
What is the sequence events during synaptic transmission with acetylcholine as the neurotransmitter
Nerve impulse
Calcium ion gates open
Release of AcCh
Binding of AcCH by receptor
5A. Sodium ion gates open
5B. Chlorine ion gates open
nerve impulse
neural signaling is a balance between
stimulation and inhibition
Where are the voltage gated sodium ion channels on a neuron?
Axon
If Na+ channels are opened in a cell that was previously at rest, how will the resting membrane potential be affected?
It becomes more positive
The name for the phase at the end of an action potential when the membrane potential becomes more negative than it is at rest is the ____ phase.
hyperpolarizing
Hyperpolarization of the postsynaptic nerve terminal.
decreases the the chance of action potential will be initiated.