1/13
Looks like no tags are added yet.
Name | Mastery | Learn | Test | Matching | Spaced | Call with Kai |
|---|
No analytics yet
Send a link to your students to track their progress
Define Harmonics
Multiplies of the fundamental frequency

Name the frequency in this string
Fundamental Frequency
1st harmonic

Name the frequency in this string
2nd harmonic

Name the frequency in this string
3rd harmonic

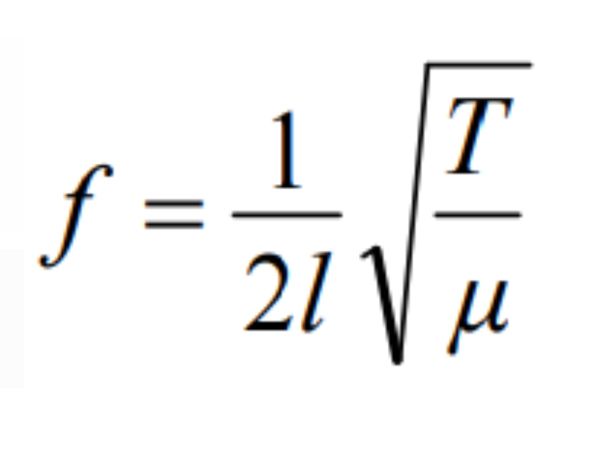
Label This Formula
Fundamental frequency of a stretched string
f - fundamental frequency
l - length
T - tension
u - mass per unit length
On what page of the log tables would you be able to find the fundamental frequency of a stretched string formula?
59

Name the frequency in this open pipe
Fundamental frequency
1st harmonic
L = h/2

Name the frequency in this open pipe
2nd harmonic
L = h

Name the frequency in this open pipe
3rd harmonic
L = 3h/2

Name the frequency in this closed pipe
Fundamental frequency
1st harmonic
L = h/4

Name the frequency in this closed pipe
3rd harmonic
L = 3h/4

Name the frequency in this closed pipe
5th harmonic
L = 5h/4
Name an example of an open pipe
Tin Whistle
Name an example of a closed pipe
Clarinet