1/8
Looks like no tags are added yet.
Name | Mastery | Learn | Test | Matching | Spaced | Call with Kai |
|---|
No study sessions yet.
what is a mole?
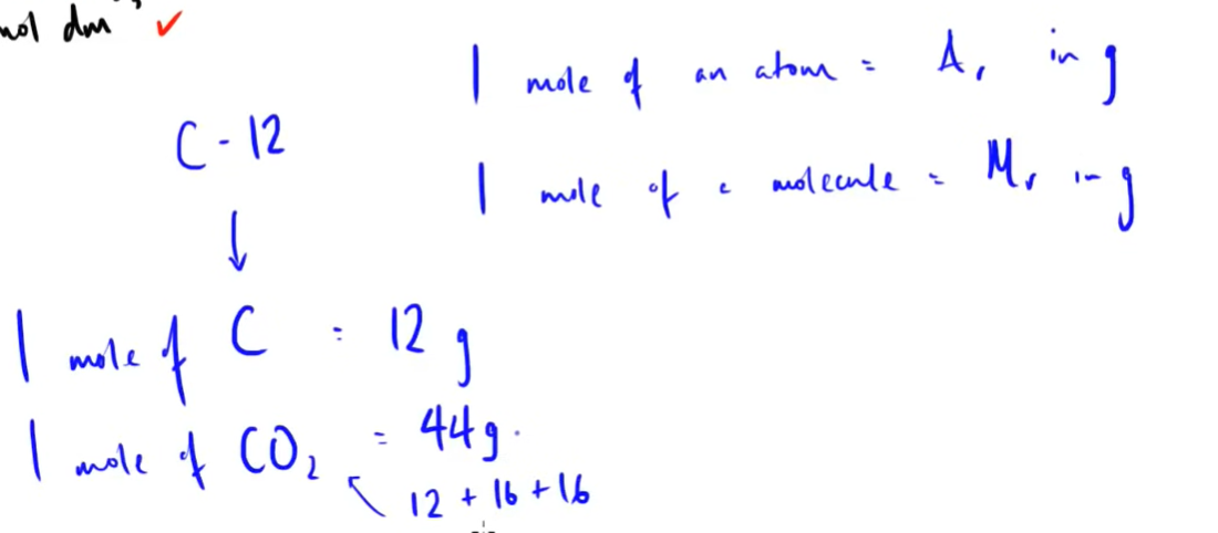
The mole is the amount of substance in grams that has the same number of particles as there are atoms in 12 grams of carbon-12.
(like a word that describes a number like a dozen=12, a mole= 6.023 X 1023)
1st calculation to calculate moles?

2nd?

what does one mole of an atom and molecule =










