1/44
Looks like no tags are added yet.
Name | Mastery | Learn | Test | Matching | Spaced |
|---|
No study sessions yet.
Lim f(x)
x→c
If f(x) is nice (no holes, no asymptotes) let x=c substitute and simplify
if lim f(x) = lim f(x)
x→c- x→c+
then lim f(x) exists
x→c
Finding horizontal asymptotes
End behavior
Find lim f(x) and lim f(x)
x→infinity x→-infinity
Finding vertical asymptotes
Find x-values that you can’t have in the domain (make denominator ONLY = 0)
The limit at that spot from either side = +-infinity
f(x) is continuous at x=a if…
lim f(x)=f(a)
x→a
Intermediate Value Theorem (IVT)
f(x) must take on every value between f(a) and f(b) if f is continuous from x=a to x=b
Average rate of change from a to b
Slope of secant line
f(b) - f(a) / b - a *old school slope
Instantaneous rate of change at a point x=a
Slope of tangent line at x=a
*use difference quotient
lim f(a+h) - f(a) / h
h→0
Limit definition of a derivative
(Slope at a given point)
lim f(x+h) - f(x) / h
h→0
Alternate definition of a derivative
(at a given point x=a)
lim f(x) - f(a) / x - a
x→a
f(x) is differentiable if…
f(x) is continuous AND lim f(x) = lim f(x)
*slopes match x→a- x→a+
d/d(x) (C) =
0 *c is a constant
d/d(x) (xn) =
nxn-1 *power rule
d/d(x) (c * f(x)) =
c * d/d(x) (f(x))
d/d(x) (u +- v) =
du/dx +- dv/dx
d/d(x) (u * v) =
u * dv/dx + v * du/dx *Product rule
d/d(x) (u/v) =
(v * du/dx - u * dv/dx) / v2 *Quotient rule
Position =
Velocity =
Acceleration =
s(t)
sI(t) = v(t)
sII(t) = vI(t) = a(t)
Speed
I v(t) I
d/d(x) sinx
cosx
d/d(x) cosx
-sinx
d/d(x) tanx
sec2x
d/d(x) cotx
-csc2x
d/d(x) secx
secxtanx
d/d(x) cscx
-cscxcotx
derivative of a composite function
d/d(x) (f(g(x))) =
*Chain rule
fI(g(x)) * gI(x)
DON’T MESS WITH TEXAS
Slope of parametric equations
(given 2 equations)
x(t) =
y(t) =
dy/dx = (dy/dt) / (dx/dt)
Implicit Differentiation
d/dx everything
ANY time you have a “y,” tack on a dy/dx to the end
Put all dy/dx on same side and solve for dy/dx
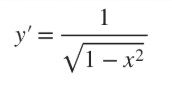
d/d(x) (sin-1(u))

d/d(x) (cos-1(u))

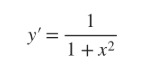
d/d(x) (tan-1(u))

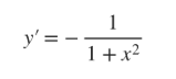
d/d(x) (cot-1(u))

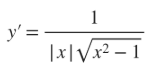
d/d(x) (sec-1(u))

d/d(x) (csc-1(u))

derivatives for inverses let f(x) = g(x) be inverses
*The slopes are reciprocals at inverse points
d/d(x) (eu) =
eu * du/dx
d/d(x) (au) =
au * lna * du/dx
d/d(x) (lnu) =
1/u * du/dx
d/d(x) (logau) =
1/(ulna) * du/dx
Extreme Value Theorem
If a function is continuous on a closed interval, the function will have both a maximum and a minimum value in that interval
Critical points (if it is continuous)
Any interior points where fI(x) = 0 or fI(x) = undefined
Max or mIn points can occur at:
Endpoints or critical points if fI(x) changes signs
Mean Value Theorem (MVT) for derivatives
If f is continuous on [a,b] AND differentiable on (a,b) then there exists some value x=c in (a,b) where fI(C) = (f(b) - f(a)) / b - a
Instantaneous ROC = Average ROC
When finding antiderivatives…
DON’T FORGET +C
Inflection points (if f is continuous)
When concavity changes fII(x) changes signs