1/33
Looks like no tags are added yet.
Name | Mastery | Learn | Test | Matching | Spaced | Call with Kai |
|---|
No analytics yet
Send a link to your students to track their progress

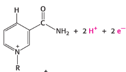
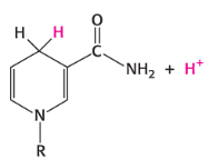
NAD+

NAD+

NAD

NADP+

Flavin Adenine Dinucleotide (FAD)
Reduction
a substance gaining electrons
Oxidation
a substance loses electrons

FAD (Oxidised Form)

FAD (Reduced Form)
Vitamin B1
Thiamine
Vitamin B1 Coenzyme
Thiamine Pyrophosphate
Vitamin B1 Reaction Type
Aldehyde Transfer
Beriberi
Weight loss, heart problems, neurological dysfunctiona caused by deficiency in Vitamin B1
Vitamin B2
Riboflavin
Vitamin B1 Coenzyme
Flavin adenine dinucleotide (FAD)
Vitamin B2 Reaction Type
Oxidation-Reduction
Vitamin B6
Pyridoxine
Vitamin B6 Coenxyme
Pyridoxal Phosphate
Vitamin B6 Reaction Type
Group Transfer to or from amino acids
Andgular Stomatitis
lesions of the mouth caused by a deficiency of vitamin B2
Depression, Confusion, and Convulsions
caused by deficiency of Vitamin B6
Vitamin B3
Nicotinic Acid
Vitamin B3 Coenzyme
Nicotinamide adenine dinucleotide (NAD+)
Vitamin B3 Reaction Type
Oxidation-Reduction
Pellagra
dermatitis, depression, and diarrhea caused by a deficiency of vitamin B3
Vitamin B5
Pantothenic Acid
Vitamin B5 Coenzyme
Coenzyme A
Vitamin B5 Reaction Type
Acyl-group transfer
Hypertension
high blood pressure caused by a deficiency of vitamin B5
Vitamin Br
Biotin
Vitamin Br Coenzyme
Biotin-lysine adducts
Vitamin Br reaction type
ATP-Dependent Carboxylation and Carboxyl-group transfer
Rash about the Eyebrows, muscle pain, and fatigue
caused by a deficiency of vitamin Br
Glycolysis
Traping + Prep: glucose is trapped in the cell, using 2 ATP to convert it to fructose-1,6-biphosphate, that is then split into three carbons
Payoff Stage: glyceraldehyde-3-phosphate is converted into pyruvate to produce 4 ATP and 2 NADH