1/38
Looks like no tags are added yet.
Name | Mastery | Learn | Test | Matching | Spaced | Call with Kai |
|---|
No analytics yet
Send a link to your students to track their progress
what is the pytaghreon identity involving sin and cos

what is the pytaghreon identity involving tan and sec

what is the pytaghreon identity involving cot and csc

when can you use pytaghreon identity s
when a function (sin, cos, wtv) is squared
(sin²(x) like this
what is true about every single function that can help you when solving or simplifying
they all relate somehow to cos or sin
how do you know if a function is a cofunction
if one has the main name and the other has co in front of it that’s a co function
example: cosine and sine are cofunctions, tan and cotangent, cosecant and secant
rule around cofunctions + give an example
cofunctions are only equal to each other when one function has (pi/2-x) or (90-x) and the other just has one thing plugged into it
x can be wtv instead it just has to be the same
EXAMPLE: sin(pi/2-x) = cos(x)
cos(pi/2-x)= sin(x) (TRUE FOR ALL)

what’s the reciprocal?


what’s the reciprocal


what’s the reciprocal


what’s the reciprocal


what’s the reciprocal


what’s the reciprocal?

how does tan relate to sin or cos?

how does cot relate to sin or cos?

how does sec relate to sin or cos?

how does csc relate to sin or cos?


what does this equal and is the function even or odd?


what does this equal and is the function even or odd?


what does this equal and is the function even or odd?


what does this equal and is the function even or odd?


what does this equal and is the function even or odd?


what does this equal and is the function even or odd?


how would you do this?
draw where the x-coordinate is equal to pi/6
find theres a pi pair of the coordinates as the general solution (theres a pi between some of where your drawing
list all of the ones using general solutions and keep it in the range


for all functions when given something like this what do you need to keep in mind? (2)
you need to keep in mind whether the function is positive or negative and draw accordingly
you need to keep in mind setting the 2x = the general solution if there was just x and then solve

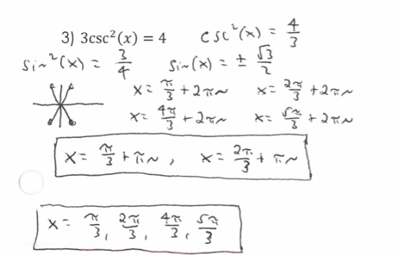
how would you do this? (same step for all reciprocals of unit circle things)
divide out the 3
square root both sides and put a +- on the side without the square root
sin is the reciprocal of csc so you flip what you have csc to get sin
solve for the general solutions by drawing all the solutions for it (pi/3) and realize that there are pairs that are on opposite sides so they have pi between them
list all out all the solutions using the general solutions or the drawing

when you see a function squared what do you immediately need to think about
all of the Pythagorean identities

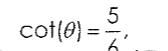
5.1 what is this in tan (and for all opposite things)
you just flip the number


how would you solve this? (5.1a) (and for all things like this)
flip the tan to get tan(O) = 6/5
cos is x so where is x below 0
tan is positive so where is tan positive
combine the 2 above and draw a triangle in the quadrant where they both fit
draw theta angle from 0,0
tan(O) = 6/5 (put the -6 on the opposite side of theta and -5 on the adjacent because in the quadrant they are both negative to make them match)
use the pytahgoren theroem to solve and then list out everything
reciprocal of sin, cos, tan and what do you need to know
you flip the number to get the angle in the opposite function
sin: csc
cos: sec
tan: cot
what is the rule for complementary function and example
in the name of functions there are ones with co and ones that dont have co example. cosine, and sine
these are all complementary to each other
example: sin(pi/2-O) = Cos(O)
cos(pi/2-O)= Sin(O)
pi/2 can equal 90 degrees
O=theta

how would you simplify this?
realize that cos²(x) is equal to 1-sin²(x) pytaghreon identity
replace both cos²(x) with 1-sin²(x)
theres a factoring thing for 1-sin²(x) which is
(1-sin(x) (1+sin(x)
for both replace with above
simplify and then combine like terms


how would you factor out and simplify?

simplifying means what
don’t solve just get into the simplest form

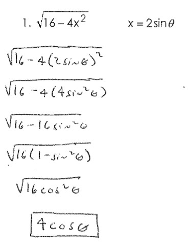
how would you solve this? (use the trig substitution to write the algebraic expression as a trig function of theta, where 0<theta<pi/2

what are the guidelines for verifying trig identities (there are 7)

general solutions and particular solutions
general solutions: x=
what are the rules for solving trignometric equations?
never divide by a trig function and reduce (cancel it)
to solve a trig equation, you can use standard algebraic equations such as collecting like terms and factoring
isolate the trig function
general solution and particular solutions
general solution: x= pi/2 + 2pi *N
particular solution: all the solutions that are actually on the unit circle