1/1
Looks like no tags are added yet.
Name | Mastery | Learn | Test | Matching | Spaced | Call with Kai |
|---|
No analytics yet
Send a link to your students to track their progress

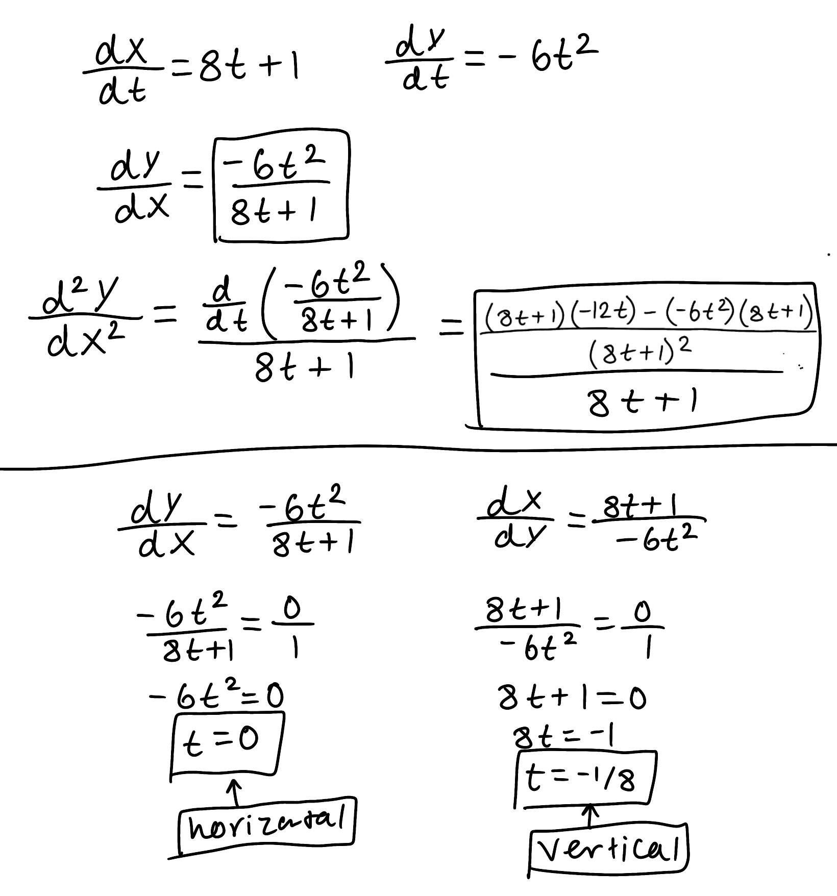
a. Find dy/dx and d²y/dx²
b. Find the values of t where the tangent is horizontal or vertical
