1/21
Looks like no tags are added yet.
Name | Mastery | Learn | Test | Matching | Spaced | Call with Kai |
|---|
No analytics yet
Send a link to your students to track their progress

pKa = 36 (Hydrogen)

pKa = -3 (sulfuric acid)

pKa = -7 (hydrochloric acid)

pKa = -2 (hydronium ion & protonated alcohols)

pKa = 5 (carboxylic acids)

pKa = 16 (alcohol and water)

pKa = 9 (phenol)

pKa = -5 (Protonated carbonyl group; z = H, C, OR, NH2, NHR, NR2)

pKa = 9 (Ammonium ion)

pKa = 11 (Protonated amines)

pKa = 33 (Amine)

pKa = 36 (Diisopropylamine)

pKa = 10 (Thiol)

pKa = 50 (Alkane)

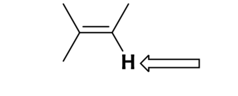
pKa = 44 (Alkene)

pKa = 25 (Alkyne)

pKa = 15 (Amide)

pKa = 9 (B-Diketone)

pKa = 11 (B-Ketoester)

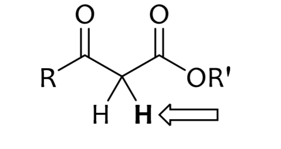
pKa = 13 (Malonate Ester)

pKa = 20 (Ketone)

pKa = 25 (Ester)