apbio unit 1.4 & 1.5

0.0(0)
studied byStudied by 0 people
0.0(0)
full-widthCall with Kai
GameKnowt Play
learnLearn
examPractice Test
spaced repetitionSpaced Repetition
heart puzzleMatch
flashcardsFlashcards
Card Sorting

1/44

encourage image

There's no tags or description

Looks like no tags are added yet.

Study Analytics
Name
Mastery
Learn
Test
Matching
Spaced

No study sessions yet.

45 Terms

1
New cards

What is organic chemistry?

The study of compounds with covalently bonded carbon.

2
New cards

What are organic compounds?

Compounds that contain carbon and hydrogen.

3
New cards

How many valence electrons does carbon have?

Carbon has 4 valence electrons.

4
New cards

What types of covalent bonds can carbon form?

Carbon can form single, double, or triple covalent bonds.

5
New cards

What is the maximum number of covalent bonds a single carbon can form?

A single carbon can form up to four covalent bonds.

6
New cards

What are hydrocarbons?

Organic molecules consisting only of carbon and hydrogen.

7
New cards

What do carbon chains form in organic molecules?

Carbon chains form the skeletons of most organic molecules.

8
New cards

What are functional groups?

Chemical groups attached to the carbon skeleton that participate in chemical reactions.

9
New cards

What are the four classes of macromolecules?

Carbohydrates, proteins, nucleic acids, and lipids.

10
New cards

What are polymers?

Chain-like macromolecules of similar or identical repeating units that are covalently bonded together.

11
New cards

What are monomers?

The repeating units that make up polymers.

12
New cards

What is a dehydration reaction?

A reaction that covalently bonds two monomers with the loss of H2O.

13
New cards

What is hydrolysis?

A reaction that breaks the covalent bonds in a polymer by adding H2O.

14
New cards

How many water molecules are needed to hydrolyze a polymer of 300 glucose monomers?

299 water molecules.

15
New cards

Why is carbon considered essential for life?

Carbon's ability to form diverse covalent bonds allows for the complexity of biological molecules.

16
New cards

What is polymerization?

The connection of many monomers to form a polymer.

17
New cards

What happens during a dehydration reaction?

The -OH of one monomer bonds to the -H of another, releasing H2O.

18
New cards

What happens during hydrolysis?

One -H of H2O bonds to one monomer, and the remaining -OH attaches to the other monomer.

19
New cards

What does the position of silicon on the periodic table tell us in comparison to carbon?

Silicon is in the same group as carbon, suggesting it may have similar bonding properties, but carbon's versatility makes it more essential for life.

20
New cards

What are the four main types of biological macromolecules?

Carbohydrates, Lipids, Nucleic Acids, Proteins

21
New cards

What are the basic building blocks of carbohydrates?

Monosaccharides, which are simple sugars.

22
New cards

What is the molecular formula for most monosaccharides?

Multiples of the unit CH2O.

23
New cards

What is the most common monosaccharide?

Glucose.

24
New cards

What are disaccharides?

Two monosaccharides joined together by covalent bonds.

25
New cards

What is the most common disaccharide?

Sucrose, composed of glucose and fructose.

26
New cards

What are polysaccharides?

Polymers made of many sugars joined via dehydration reactions.

27
New cards

What is the function of starch in plants?

To store excess glucose.

28
New cards

What do animals store as a polysaccharide?

Glycogen, stored in liver and muscle cells.

29
New cards

What is cellulose?

A structural polysaccharide that forms plant cell walls.

30
New cards

What are lipids?

A class of molecules that do not include true polymers and are generally hydrophobic.

31
New cards

What are the major functions of fats?

Energy storage, support cell function, and provide insulation.

32
New cards

What are the components of fats?

Glycerol and fatty acids.

33
New cards

What distinguishes saturated fatty acids from unsaturated fatty acids?

Saturated fatty acids have single bonds between carbons, while unsaturated fatty acids have one or more double bonds.

<p>Saturated fatty acids have single bonds between carbons, while unsaturated fatty acids have one or more double bonds.</p>
34
New cards

What are phospholipids?

Major components of cell membranes, consisting of two fatty acids attached to a glycerol and a phosphate.

<p>Major components of cell membranes, consisting of two fatty acids attached to a glycerol and a phosphate.</p>
35
New cards

What are nucleic acids?

Polymers made of nucleotide monomers that store, transmit, and express hereditary information.

36
New cards

What are the two forms of nucleic acids?

Deoxyribonucleic acid (DNA) and ribonucleic acid (RNA).

37
New cards

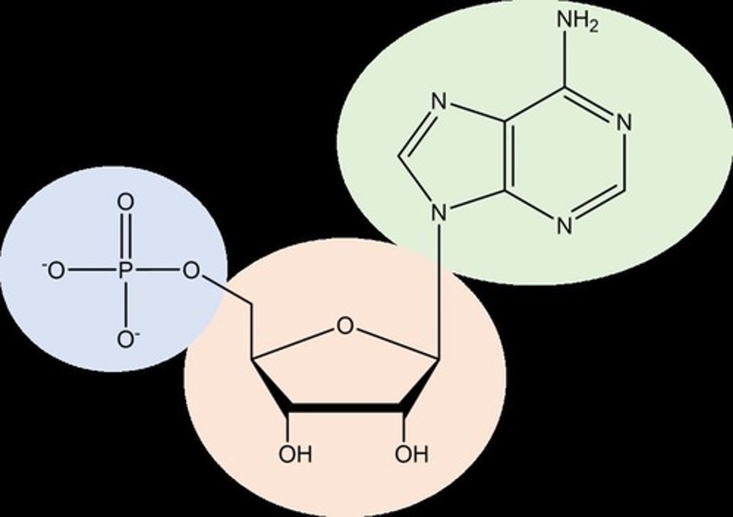
What are the three parts of a nucleotide?

A nitrogenous base, a five-carbon sugar (pentose), and a phosphate group.

<p>A nitrogenous base, a five-carbon sugar (pentose), and a phosphate group.</p>
38
New cards

What are the two types of nitrogenous bases?

Pyrimidines (e.g., cytosine, thymine, uracil) and purines (e.g., adenine, guanine).

39
New cards

What is the structure of DNA?

Consists of two polynucleotides forming a double helix, with strands that are antiparallel.

40
New cards

What is the primary structure of a protein?

The unique sequence of amino acids in a polypeptide.

41
New cards

What determines the tertiary structure of a protein?

Interactions between the side chains of amino acids.

42
New cards

What is the quaternary structure of a protein?

The association of two or more polypeptides.

43
New cards

What are the main functions of proteins?

Antibody, enzyme, messenger, structural, and transport/storage roles.

44
New cards

What is a peptide bond?

A bond formed between the carboxyl group of one amino acid and the amino group of another, through a dehydration reaction.

45
New cards

What is the sugar-phosphate backbone in nucleic acids?

The alternating chain of sugar and phosphate groups that forms the structural framework of DNA and RNA.

Explore top flashcards