1/29
Looks like no tags are added yet.
Name | Mastery | Learn | Test | Matching | Spaced | Call with Kai |
|---|
No analytics yet
Send a link to your students to track their progress
Ray Diagrams
We often represent a light wave by rays rather than by wave fronts. A ray is an imaginary line along the direction of travel of the wave that passes perpendicularly through the wave fronts.
Specular Reflections
Reflection from a very smooth surface such as highly polished glass or metal where parallel rays remain parallel and the law of reflection holds.
Diffuse Reflections
scattered reflections from a rough surface
The law of reflections
The angle of reflection (θr) is equal to the angle of incidence (θa) for all wavelengths and for any pair of materials. Note that all angles are measured from the normal, where θa = θr
The index of refraction
The index of refraction of an optical material, denoted by n, is defined as
n = c/v
where c is the speed of light in a vacuum and v is the speed of light in the material.
Critical Angle
when the ray is refracted so it travels along the boundary of the two surfaces.
Snell’s Law
nasin θa = nbsin θb
When a ray passes from one material into another material having a larger index of refraction and hence a slower wave speed, the angle θb with the normal is smaller in the second material than the angle θa in the first.
Total internal reflection
If the angle of incidence is larger than a critical angle, the ray cannot pass into the upper material; it is completely reflected at the boundary surface.
This situation occurs only when the refractive index drops over the boundary, nb <na.
Porro Prism
A reflecting prism in which the light is reflected on two 45° surfaces and returned parallel to the incoming beam
Dispersion
Light is broken up into wavelengths. It slows down in materials with higher refractive indices. This means refraction changes the wavelength of light but the frequency does not change.
How do rainbows work?
When sunlight enters a spherical water droplet suspended in the air, it is (partially) reflected from the back surface of the droplet, and is refracted again upon exiting the droplet. The refraction process disperses the colours.
Malus’ Law
When polarized light of intensity Imax is incident on a polarizing filter used as an analyzer, the intensity I of the light transmitted through the analyzer depends on the angle ϕ between the polarization direction of the incident light and the polarizing axis of the analyzer.

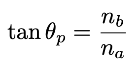
Brewster’s law
At one particular angle of incidence, called the polarizing angle (θp), the reflected light rays have a single polarization perpendicular to the plane of refraction.
When unpolarized light is incident at this angle, the light that is reflected from the surface is perfectly polarized.

Virtual Images
The reflected rays entering the eye look as though they had come from image point that is not located at the object point.
Sign Rules
The object distance, s, is positive if the object is on the same side as the incoming light. The image distance, s′, is positive if the image is on the same side as the outgoing light.
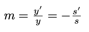
lateral magnification
The factor increase or decrease in the size (magnification, m) where y′is the image height and y is the object height. Because the angle of incidence and the angle of reflection is the same.

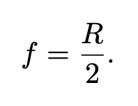
Spherical Mirror
described by radius of curvature R. If the center of curvature, C, is on the same side as the reflected light, then R is positive. The vertex is the intersection of the optical axis and the mirror. Rays passing through this point behave like a plane mirror. Other points reflect around the radius of curvature.
focal length
the distance from the vertex to the focal point

convex/concave mirrors
A concave mirror forms a real or virtual image of a point object. A convex mirror forms a virtual image of a point object.
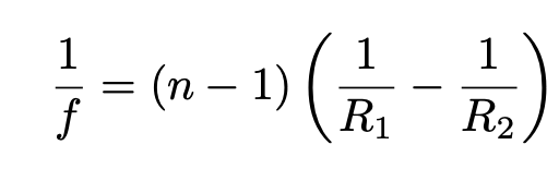
Lensmaker’s equation
used to determine the focal length of a lens by considering the curvature of each surface. For a thin lens of focal length f, index of refraction n with Radius of curvature R1 and R2 on the first and second surfaces respectively

Camera focal length
the distance from the lens to the image when the object is infinitely far away. As focal length changes, the amount of the subject captured by the lens (the viewing angle) also changes (lower focal lengths have higher viewing angles).
Aperture
controlled with a diaphragm with diameter D. The light-gathering capability is expressed as the f-number. Higher f-numbers have smaller apertures, deeper depths of fields and require longer exposures.

myopic eye
nearsighted - the eyeball is too long from front to back in comparison with the radius of curvature of the cornea, and rays from an object at infinity are focused in front of the retina.
A diverging lens is needed to extend the focal length.
hyperopic eye
longsighted - the eyeball is too short from front to back in comparison with the radius of curvature of the cornea. Rays from an object at infinity are focused in behind the retina. A converging lens is needed to reduce the focal length.
How does a microscope work?
it uses two optical elements (usually two lenses) to magnify an image.
Refracting telescope
use lenses to focus starlight. The focal length is approximately the length of the tube.
Reflecting telescope
use mirrors and lenses to focus starlight. The focal length and then be much greater than the length of the tube.
Normal Adjustment
Light from stars and other distant objects can be considered parallel. The image produced by the objective lens is usually placed at the focal distance of the eyepiece to locate the image at infinity.
What is chromatic aberration?
Colour images viewed through lenses suffer from chromatic aberration due to the different colours refracting differently in the lens resulting in different focal points.
This looks like a colour blurring of the image. Chromatic aberration can be corrected using an achromat. This limits the dispersion but retains the convergence of the lens.
What is spherical aberration?
This is because spherical mirrors only have a single focus if rays are at small angles to the mirror.
This can be corrected using a corrector plate such as the Schmidt in small telescopes. Generally parabolic or hyperbolic mirrors are used in large modern telescopes.