1/3
Looks like no tags are added yet.
Name | Mastery | Learn | Test | Matching | Spaced | Call with Kai |
|---|
No analytics yet
Send a link to your students to track their progress

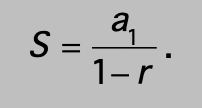
Sum of an infinite geometric series. A of 1 is the first term, NOT N = 1

Sum of finite geometric series, knowing a of 1 and a of n (last term)

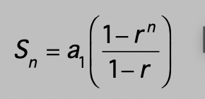
Sum of finite geometric series, knowing how # of N
y
y