Derivatives

0.0(0)
Studied by 0 people
call kaiCall Kai
learnLearn
examPractice Test
spaced repetitionSpaced Repetition
heart puzzleMatch
flashcardsFlashcards
GameKnowt Play
Card Sorting

1/8

encourage image

There's no tags or description

Looks like no tags are added yet.

Last updated 4:30 AM on 4/1/26
Name
Mastery
Learn
Test
Matching
Spaced
Call with Kai

No analytics yet

Send a link to your students to track their progress

9 Terms

1
New cards

Product Rule

knowt flashcard image
2
New cards

Quotient Rule

knowt flashcard image
3
New cards

Chain Rule

knowt flashcard image
4
New cards
term image
knowt flashcard image
5
New cards
term image
knowt flashcard image
6
New cards
term image
knowt flashcard image
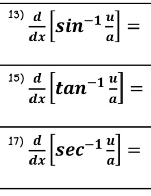
7
New cards
term image
knowt flashcard image
8
New cards
term image
knowt flashcard image
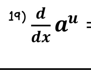
9
New cards

Formula of a Tangent Line

knowt flashcard image

Explore top notes

note
historical globalization figures
Updated 1082d ago
0.0(0)
note
~The Phagocytic System~
Updated 536d ago
0.0(0)
note
4.8-4.10 Presentation
Updated 113d ago
0.0(0)
note
States of matter
Updated 1246d ago
0.0(0)
note
Chapter 6: Learning
Updated 1090d ago
0.0(0)
note
GEC1-LESSON 3
Updated 569d ago
0.0(0)
note
historical globalization figures
Updated 1082d ago
0.0(0)
note
~The Phagocytic System~
Updated 536d ago
0.0(0)
note
4.8-4.10 Presentation
Updated 113d ago
0.0(0)
note
States of matter
Updated 1246d ago
0.0(0)
note
Chapter 6: Learning
Updated 1090d ago
0.0(0)
note
GEC1-LESSON 3
Updated 569d ago
0.0(0)

Explore top flashcards

flashcards
Wat een taal zeg
91
Updated 1221d ago
0.0(0)
flashcards
Sp4 Un1A (23-24) | El arte
30
Updated 952d ago
0.0(0)
flashcards
Linear Algebra Final Review
47
Updated 471d ago
0.0(0)
flashcards
Odyssey Terms
35
Updated 1240d ago
0.0(0)
flashcards
is 117 final quiz review
44
Updated 1204d ago
0.0(0)
flashcards
Passe Compose
54
Updated 1147d ago
0.0(0)
flashcards
Wat een taal zeg
91
Updated 1221d ago
0.0(0)
flashcards
Sp4 Un1A (23-24) | El arte
30
Updated 952d ago
0.0(0)
flashcards
Linear Algebra Final Review
47
Updated 471d ago
0.0(0)
flashcards
Odyssey Terms
35
Updated 1240d ago
0.0(0)
flashcards
is 117 final quiz review
44
Updated 1204d ago
0.0(0)
flashcards
Passe Compose
54
Updated 1147d ago
0.0(0)