1/50
Looks like no tags are added yet.
Name | Mastery | Learn | Test | Matching | Spaced | Call with Kai |
|---|
No analytics yet
Send a link to your students to track their progress
positive velocity, zero acceleration (V-T graph)

positive velocity, negative acceleration (V-T graph)

positive velocity, positive acceleration (V-T graph)

negative velocity, zero acceleration (V-T graph)

negative velocity, negative acceleration (V-T graph)

negative velocity, positive acceleration (V-T graph)

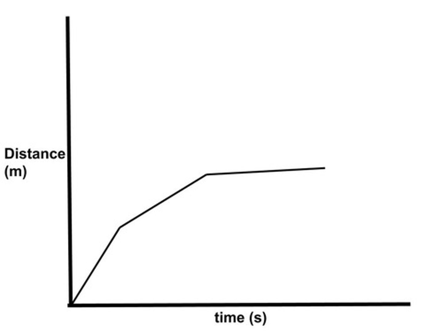
The object is speeding up (accelerating) in the positive direction. (P-T graph)
Describe the object's motion:

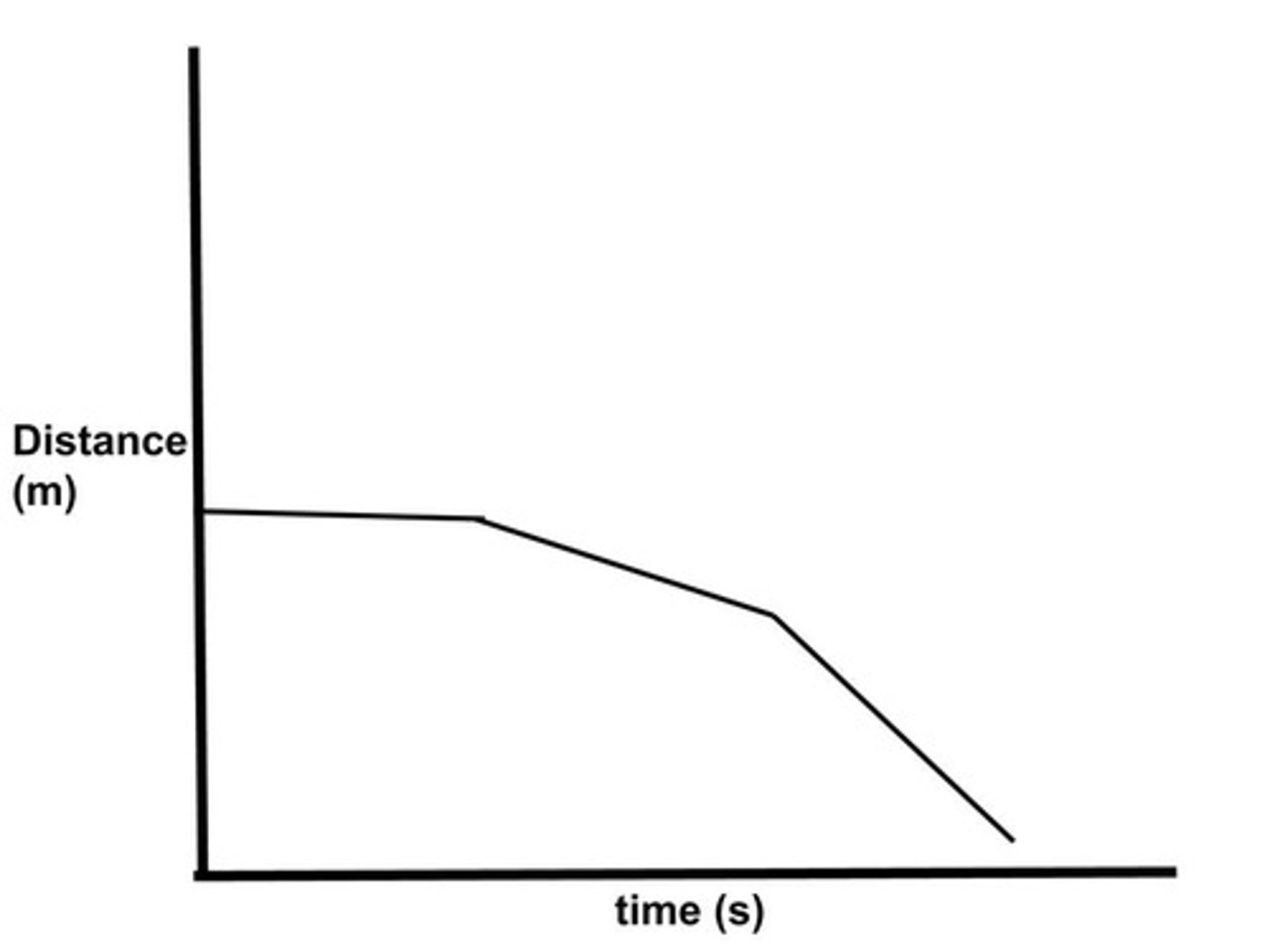
The object is slowing down (decelerating). (P-T graph)
Describe the object's motion:

The object is speeding up (accelerating) in the negative direction. (P-T graph)
Describe the object's motion:

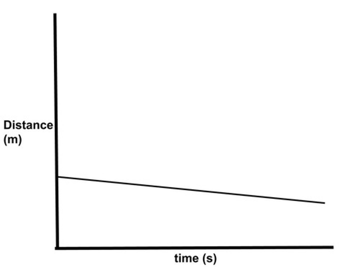
The object has a constant positive velocity (P-T graph)
Describe the object's motion:

The object has a constant negative velocity (P-T graph)
Describe the object's motion:

The object is changing direction (P-T graph)
Describe the object's motion:

The object has 0 velocity (P-T graph)
Describe the object's motion:

acceleration
What is the rate at which velocity changes called?
deceleration
What is another name for negative acceleration?

the object is speeding up
What does positive acceleration mean (shown by an upward curving line)?

3 ways to accelerate
speeding up, slowing down, or changing direction are...
velocity
Speed in a direction is called...
shows no acceleration; the object is maintaining a constant velocity/speed
What is shown by a horizontal (flat) line on a velocity-time graph?

constant positive acceleration
What does a rising, straight, diagonal line on a velocity-time graph show?

deceleration (negative acceleration)/slowing down
What does a downward, diagonal line on a velocity-time graph show?

changing positive acceleration/increasing speed
What is shown in this graph?

constant negative acceleration/slowing down
What is shown in this graph?

the object is not moving; it is at rest
What does a straight, horizontal line at the x-axis of a velocity-time graph show?

A and C
Which part(s) of the graph shows positive acceleration?

B
Which part(s) of the graph shows constant speed/zero acceleration?

the speed did not change; there was zero acceleration
What happened between 20 and 40 seconds?

m/s
The SI unit of measurement for velocity or speed is...
m/s/s or m/s2
The SI unit of measurement for acceleration is...
distance/time
The formula for speed is...
distance/time (includes a direction)
The formula for velocity is...
change in velocity/time
The formula for acceleration is...
velocity includes a direction (but both are the amount of distance covered in a certain amount of time)
What is the difference between speed and velocity?
Not moving
What is the object doing?

Red
Which is going the slowest?

Moving in a negative direction
What is the object represented by the blue line doing?

Green
Which Object is moving in a positive direction?

Black
Which is going the fastest?

Distance
How far something traveled by an object
A
Which letter is traveling in a negative direction?

B
Which letter (B or D) is traveling the fastest?

D
Which letter (B or D) is traveling the slowest?

C
Which letter is motionless?

At rest; not moving
If the line of the graph is perfectly horizontal, what is the object doing?
6 Meters
What is the distance?

3 meters
What is the distance?

9 meters
What is the distance?

40 meters
What is the distance?

Red Line
Which line is motionless?

Green Line
Which object has the greatest speed?

Blue and Yellow
Which object is traveling in a negative direction?
