1/104
Looks like no tags are added yet.
Name | Mastery | Learn | Test | Matching | Spaced | Call with Kai |
|---|
No analytics yet
Send a link to your students to track their progress

Product?


Reagents?


directing group?
ortho/para director, weakly deactivating

mechanism?
EAS

Conditions/Notes
Phenols and anisoles over-halogenate

Product?


Reagents?


Directing group?
meta director, strongly deactivating

Mechanism?
EAS

Notes/Conditions?
Aniline cannot be nitrated

Product?


Reagents?


Directing group?
Meta director, strong deactivating

Mechanism?
EAS

Conditions?
Only adds para when added to a ring with an ortho/para director

Product?


Reagents?


Directing group?
meta director, moderately deactivating

Mechanism?
EAS

Conditions/Notes
Friedel-Crafts Acylation cannot occur with a meta director or NH2 on the ring

Product?


Reagents?


Directing Group
Ortho/para director, weakly activating

Mechanism?
EAS with carbocation rearrangements

Conditions/Notes
Friedel-Crafts alkylation, cannot occur with a meta director or NH2 on the ring, benzene rings must be in excess

Product?


Reagents?


Directing group?
Ortho/para director, weakly activating

Mechanism?
EAS with carbocation rearrangements

Conditions/Notes
Friedel-Crafts alkylation without a catalyst cannot occurs with a meta director or NH2 on a ring, benzene rings must be in excess

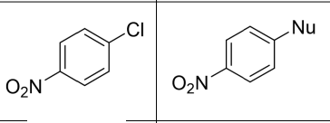
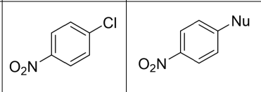
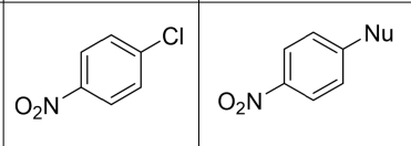
Products?


Reagents?


Mechanism?
NAS

Conditions/Notes?
Nu is often -OR or -NH2, requires a NO2 or a carbonyl ortho or para to the good leaving group (a halide)

Products?


Reagents?


Mechanism?
Reduction

Reaction name?
Wolff-Kishner Reduction

Product?


Reagents?


Mechanism?
Reduction

Reaction Name?
Clemmensen Reduction

Product?


Reagents?


Mechanism?
Reduction

Notes
Also reduces nonaromatic pi bonds

Products?


Reagents?


Mechanism?
Reduction

Notes?
Special for nitriles

Products?


Reagents?


Mechanism?
Organometallic Reactions

Rxn Name?
Suzuki Rxn

Products?


Reagents?


Mechanism?
Organometallic Reaction

Rxn name?
Gilman reagents/organocuprates

Products?


Reagents?


Products?


Mechanism?
Radical Reactions

Products?


Reagents?


Mechanism?
Substitution or Elimination

Conditions?
Mechanism depends on conditions

Products?


Reagents?


Mechanism?
Elimination, E2 (Hoffman)

Products?


Reagents?


Mechanism?
oxidation of alkyl side chains

Conditions/Notes
Requires a benzylic hydrogen (not quaternary Carbon)

Reagents?


Products?


Notes/Conditions?
Formation of diazonium salts from aniline

Products?


Reagents?


Notes?
Replacement of a diazonium salt with Cl

Products?


Reagents?


Notes?
Replacement of a diazonium salt with Br

Products?


Reagents?


Notes?
Replacement of a diazonium salt with CN

Reagents?


Products?


Notes?
Replaces diazonium salt with I

Products?


Reagents?


Notes?
Replaces a diazonium salt with F

Products?


Reagents?


Replacement of a diazonium salt with OH

Products?


Reagents?


Replacement of a diazonium salt with H, โremovalโ of the group from benzene

Reagent?
Any EAS mechanism

Product?


Directing group?
Follow the chart