1/21
Looks like no tags are added yet.
Name | Mastery | Learn | Test | Matching | Spaced | Call with Kai |
|---|
No analytics yet
Send a link to your students to track their progress

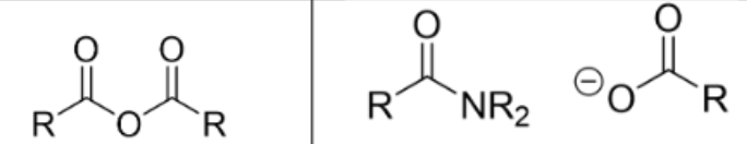
Name the reactants
ROH

Name the reactants
Nh2R or NHR2

Name the reactants
H2O

Name the reactants
SOCl2

Name the reactants
Heat

Name the reactants
Heat

Name the reactants
NH2R or NR2H

Name the reactants
ROH

Name the reactants
Any base

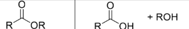
Name the reactants
ROH & HCl

Name the reactants
ROH & HCl

Name the reactants
H2O & HCl or H2SO4

Name the reactants
H2O & NaOH

Name the reactants
H2O & HCl or H2SO4 & heat

Name the reactants
NaOH & H2O & heat

Name the reactants
H2O & HCl or H2SO4 & heat

Name the reactants
KOH, R-Br, H2O & HCl or NaOH & H2O

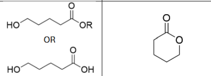
Name the reactants
HCl

Name the reactants
HCl

Name the reactants
ROH & HCl

Name the reactants
H2o & HCl or H2SO4

Name the reactants
H2o & HCl or H2SO4