1/6
Looks like no tags are added yet.
Name | Mastery | Learn | Test | Matching | Spaced | Call with Kai |
|---|
No analytics yet
Send a link to your students to track their progress
roots of polynomials → sum of roots, pair of roots, triplets of roots, 4 roots multiplied

roots of polynomials → reciprocals for quadratic and cubic

roots of polynomials → sum of squares for quadratics and cubics

roots of polynomials → sum of cubes for quadratics and cubics

sum of r

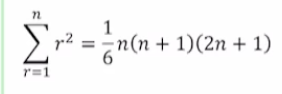
sum of r²

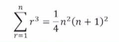
sum of r³
