1/4
Looks like no tags are added yet.
Name | Mastery | Learn | Test | Matching | Spaced |
|---|
No study sessions yet.
What is climate modelling?
A computer program designed to stimulate Earth’s climate, using mathematical equations.
Why do we need climate modelling?
projections
make policy decisions like energy use.
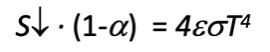
What is the energy balance equation?
Energy derived from the sun.

What are the limitations of climate modelling?
Clouds are the biggest uncertainty, can’t show water droplets.
Have to divide them up into grid cells, in reality no boxes. They are not exact stimulations but, averages.
No perfect model.
Struggle with regional responses and extremes.
How has Earth System modelling developed?
Running cheaper models
uncertainties can be quantified but not reduced.
attempt at representing all components of the Earth system, but can’t be achieved.