1/19
Looks like no tags are added yet.
Name | Mastery | Learn | Test | Matching | Spaced | Call with Kai |
|---|
No analytics yet
Send a link to your students to track their progress
What is Stimulus control?
- When a stimulus event can occasion (evoke) our behaviour reliably
- This is the typical antecedent that will control/predict the behaviour
- Ex. A red light (antecedent) → Press your foot on the break (behaviour), Phone vibrates/pings/rings (antecedent) → Pick up our phone (behaviour)
- Reinforcements/consequences can also strengthen the environment-behaviour relationship, rather than just strengthening the behaviour (essentially reinforcers also increase the likelihood of that behaviour being performed)

What types of stimuli provide stimulus control?
- People
- Environments
- Tangible items
- Verbal behaviour (e.g., requests, instructions, demands, etc.)

Discriminative stimulus (SD)
- An SD is the stimulus that you want to evoke the behaviour
- It is the ANTECEDENT (occurs before the behaviour)
- It signals that reinforcement is available
Examples:
- Fridge → SD for a cold drink
- Stop → Sign SD for stop
- "Come Over Here" → an instructional SD

S Δ (S-Delta)
- It is all other stimuli in the environment
- Does not evoke the target behaviour
- Signals that reinforcement is not available
Examples:
- A “Shirt and Shoes Required” sign at a beachside restaurant when you are wearing a bathing suit (because it prevents you from entering the restaurant, and thus, signals that reinforcement is not available)

Stimulus discrimination training
- Requires one (1) behaviour and two (2) antecedent stimulus conditions
- Responses are reinforced in the presence of ONE stimulus condition, the Sd
- Responses are NOT reinforced in the presence of the other stimulus, the S- delta
Example:
- Determine an appropriate array for the learner
• Earlier learners = smaller arrays/less distractors/s-deltas,
• Learners with more complex skills = larger arrays/more distractors/s-deltas
- SD = Target stimuli + instruction
- Other stimuli = S-delta

What is Task Analysis?
- Breaking a complex skill or series of behaviours into smaller, teachable units
- The product of a task analysis is a series of sequentially ordered steps

Constructing a task analysis
- The sequence one individual may use to perform a skill may not be the same as another individual
- Must be individualized according to
• Age
• Skill level
• Abilities
• Prior experience
- Some task analyses have a limited number of steps, but these steps may be broken down into subtasks

Other methods for constructing a task analysis + handwashing example
Methods
- Observe a competent individual perform the task
– Consult with experts or persons skilled in performing the task
- Perform the task yourself
- You can refine it as you use it, if necessary
Handwashing Examples:
- One has very few steps: You might use this for someone who does not need the skill broken down as much
- One has many steps: You might use this for someone who had few skills in this area, and who needs all of these steps taught (prompted and reinforced) separately

What is a Behaviour Chain?
- A sequence of responses
- Each associated with a particular stimulus condition
- When responses are linked together, they form a chain that produces a terminal outcome (desired consequence)
- They are all functionally linked to the same terminal reinforcer

How do components in a behaviour chain serve dual functions?
- Each response/behaviour) in the chain serves as a conditioned reinforcer for the previous step
- Each response in the chain serves as a discriminative stimulus (SD) for the next response in the chain
- (Exceptions: the first and last responses in the chain)
Diagram of a response chain

Why do we use chaining procedures?
- Teaches complex skills that allow individuals to function more independently
- A way to add new behaviours to an existing behavioural repertoire
- Can easily be combined with other procedures (prompting, instructions, reinforcement)

What are the 4 Chaining Procedures?
Note: in all chaining procedures, you should first write a task analysis

Forward chaining Procedures
- Training begins the link with the first behaviour in the sequence
- Training only occurs on the steps previously mastered and current step (no training on steps after that)
- The trainer performs all of the following steps themself
Advantages
• Can be used to link smaller chains to larger ones
• Relatively easy

Backward chaining Procedures
- Training begins with the last behaviour in the sequence
- Trainer performs all but the last step until learner masters last step
- Then trainer performs all but last two steps until learner masters last two steps, and so on...
Advantages
• Natural reinforcement is produced immediately upon the learner’s response
• Learner contacts these natural contingencies of reinforcement on every learning trial

Backward chaining with Leaps Ahead
- Follows the same procedures as backward chaining, but not every step in the task analysis is trained
- Other steps are probed (checked/tested without teaching or prompting it)
- If some steps are in the learner's repertoire, they are not taught
- The learner is still required to perform those steps, however
Total Task Chaining Procedures
- Learner attempts all steps each time
- Training is provided for every behaviour in the sequence during every training session
- Trainer assistance (prompting) is provided on every step
- No steps are performed entirely by just the trainer, unlike FC or BC
Which procedure should you use?
There is no data to indicate that one is more effective than another
Choose total-task chaining if:
- The learner knows many of the tasks but needs to learn how to do them in sequence
- Has an imitative repertoire (a learned ability to copy others' actions)
- Has moderate to severe disabilities
- Task is not long or complex
An assessment of the efficiency of and child preference for forward and backward chaining: GRAPH
Results:
- Forward-and backward-chaining procedures are similarly effective in establishing behaviour chains
- There is no consistent difference in task acquisition given instruction consisting of forward or backward chaining between or within participants (essentially the kids had no preference!)
- These procedures are neither differentially efficient nor differentially preferred

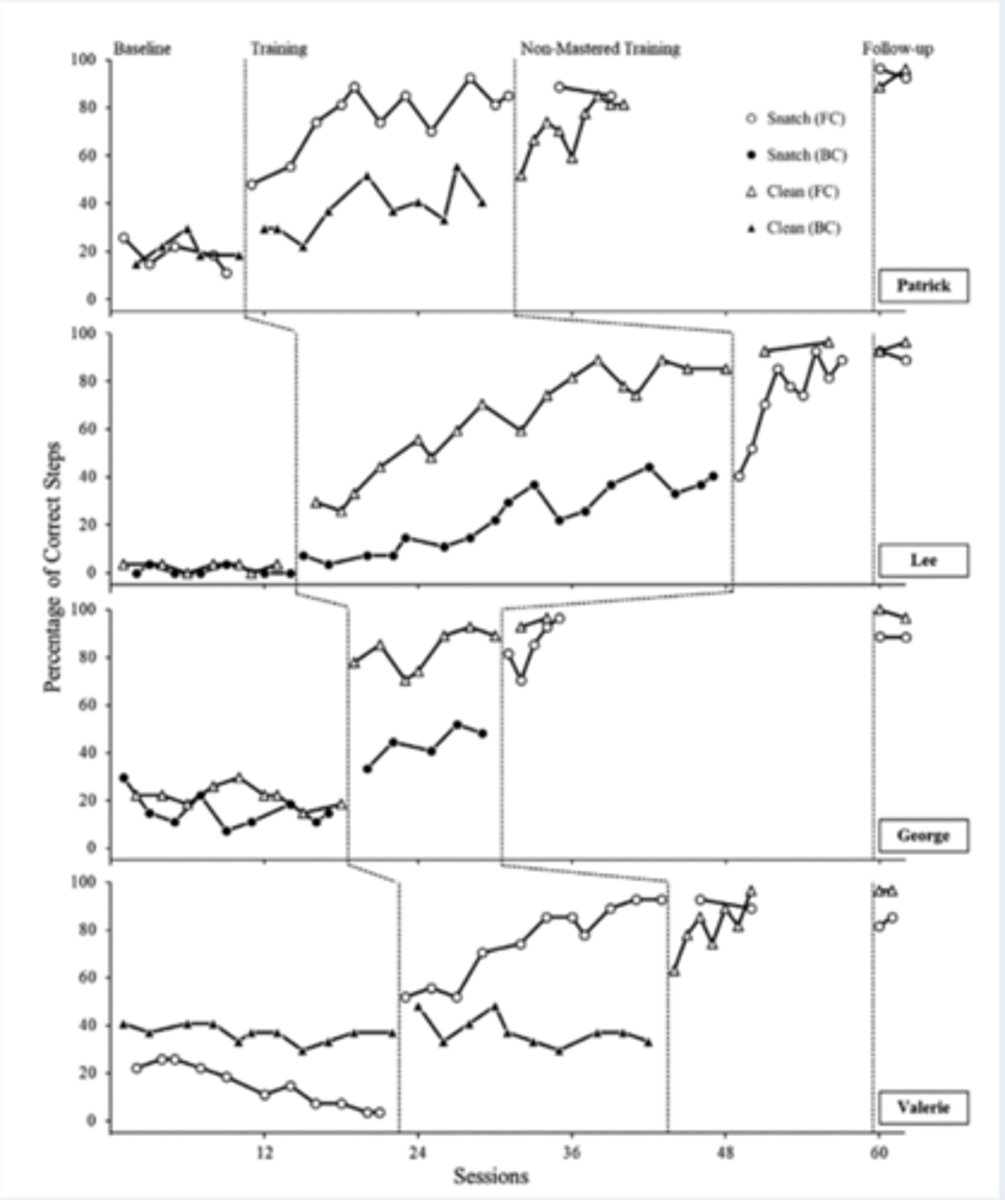
Comparing forward and backward chaining in teaching Olympic weightlifting: GRAPH
- Each participant showed mastery performance following training via forward chaining
- Showed substantially fewer improvements in performance accuracy when trained via backward chaining
- When changed from backward to forward chaining for those lifts, each participant then reached mastery level performance
- Forward chaining was superior to backward chaining in teaching these Olympic weightlifting movements
