1/7
Looks like no tags are added yet.
Name | Mastery | Learn | Test | Matching | Spaced | Call with Kai |
|---|
No analytics yet
Send a link to your students to track their progress

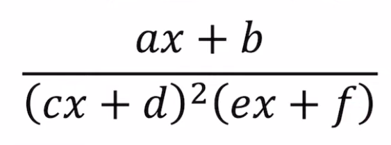
if there is a repeated factor, (e.g the one in the image), how do u write out the partial fractions?
do the one from image
have to do the squared term twice (one where it is squared, and 1 where it is single)

when doing the comparing coefficients method, do u have to compare all the coefficients, or just some or just 1
just 1 is needed
for partial fractions with a squared denominator, how do u find out the terms after doing substitution (the 2 methods which u could use)
either do substitution again, but with a value which is not in the brackets e.g 0, but for all terms
or do it by comparing coefficients
—> prob easier / quicker to compare coefficients
when is an algebraic fraction improper?
when the order of the numerator is greater than or equal to the order of the denominator
when dealing with improper fractions, how can u solve them with the remainder and which way should u do for fullproof method
algebraic long division, and then partial fractions
just going straight to partial fractions, but a longer partial fractions question
—> algebraic long division method
for comparing coefficients, which should u always compare and which should u try to avoid comparing because it can get complicated
compare the highest power, and / or the lowest power (I mean the constant, without a variable, e.g 5, not 5x)
stay away from in betweens e.g 2x

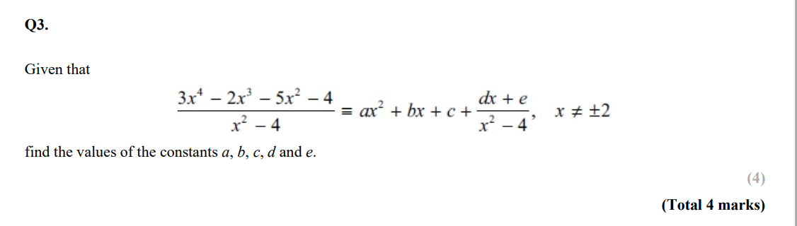
do this question
mark scheme


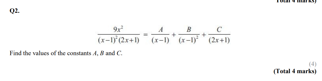
do this question
