1/7
Units 9 & 10
Name | Mastery | Learn | Test | Matching | Spaced | Call with Kai |
|---|
No analytics yet
Send a link to your students to track their progress
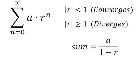
Geometric series
a + ar + ar² + … + arⁿ⁻¹ =

Taylor series generated by f centered at x=a
Maclaurin series (Taylor centered at x=0)
Maclaurin series for f(x) = 1/(1-x)

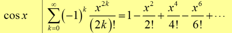
Maclaurin series for f(x) = cosx

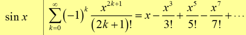
Maclaurin series for f(x) = sinx

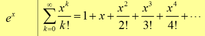
Maclaurin series for f(x) = eˣ

Maclaurin series for f(x) = ln(1+x)
