Types of reactions

0.0(0)
studied byStudied by 0 people
call kaiCall Kai
learnLearn
examPractice Test
spaced repetitionSpaced Repetition
heart puzzleMatch
flashcardsFlashcards
GameKnowt Play
Card Sorting

1/6

encourage image

There's no tags or description

Looks like no tags are added yet.

Last updated 4:36 PM on 1/22/26
Name
Mastery
Learn
Test
Matching
Spaced
Call with Kai

No analytics yet

Send a link to your students to track their progress

7 Terms

1
New cards

SN1

(1) - two step process. rate=k[haloalkane]. best in polar protic solvent

Works with weak nucleophiles

favours tertiary (some secondary) haloalkanes - stable carbocation

racemisation: planar carbocation intermediate

<p>(1) - two step process. rate=k[haloalkane]. best in polar protic solvent</p><p>Works with weak nucleophiles</p><p>favours tertiary (some secondary) haloalkanes - stable carbocation</p><p>racemisation: planar carbocation intermediate</p>
2
New cards

SN2

(2) - concerted process. rate=k[nucleophile][haloalkane]. best in polar aprotic solvent.

Inversion: 180degree attack to C-X sigma orbital

requires stong nucleophile

favours primary and secondary haloalkanes due to low steric interactions in trans state

<p>(2) - concerted process. rate=k[nucleophile][haloalkane]. best in polar aprotic solvent.</p><p>Inversion: 180degree attack to C-X sigma orbital</p><p>requires stong nucleophile</p><p>favours primary and secondary haloalkanes due to low steric interactions in trans state</p>
3
New cards

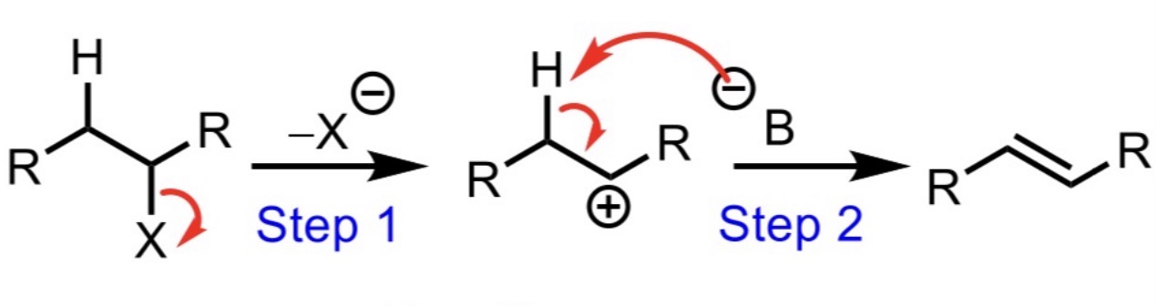
E1

(1) - two step process. rate=k[haloalkane]. best in polar protic solvent

favours formation of E-alkene (lower energy intermediate) and most substituted alkene

can use weak acid or bases

<p>(1) - two step process. rate=k[haloalkane]. best in polar protic solvent</p><p>favours formation of E-alkene (lower energy intermediate) and most substituted alkene</p><p>can use weak acid or bases</p>
4
New cards

E2

(2) - concerted process. rate=k[nucleophile][haloalkane]. best in polar aprotic solvent.

stereospecific - must go via antiperplanar trans state

regioselectivity is dependant on lareg/small base

favoursuse of strong bases

<p>(2) - concerted process. rate=k[nucleophile][haloalkane]. best in polar aprotic solvent.</p><p>stereospecific - must go via antiperplanar trans state</p><p>regioselectivity is dependant on lareg/small base</p><p>favoursuse of strong bases</p>
5
New cards

Regioselectivity

preferentially forming one structural isomer (regioisomer) over others

6
New cards

Polar protic solvents

Contain O-H or N-H bonds, allowing them to donate protons and form strong hydrogen bonds (aka. presence of an acidic hydrogen)

7
New cards

Polar aprotic solvents

Do not contain O-H or N-H bonds meaning they cannot donate protons but are still polar (there is an absence of an acidic hydrogen)