steroid structures

0.0(0)
studied byStudied by 0 people
call kaiCall Kai
learnLearn
examPractice Test
spaced repetitionSpaced Repetition
heart puzzleMatch
flashcardsFlashcards
GameKnowt Play
Card Sorting

1/4

encourage image

There's no tags or description

Looks like no tags are added yet.

Last updated 3:45 PM on 5/5/25
Name
Mastery
Learn
Test
Matching
Spaced
Call with Kai

No analytics yet

Send a link to your students to track their progress

5 Terms

1
New cards
term image

1, 25-dihydroxyvitamin D3

2
New cards
<p></p>

cortisol

3
New cards
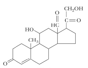
term image

aldosterone

4
New cards
term image

progesterone

5
New cards
term image

testosterone