1/47
Looks like no tags are added yet.
Name | Mastery | Learn | Test | Matching | Spaced | Call with Kai |
|---|
No analytics yet
Send a link to your students to track their progress
Core Assumptions and Notation

The Standard Ultimate Survival Model

Life Insurance Overview
PV (cont, discrete) + symbol for APV

Pure Endowment

The Endowment Rule

The Deferral Rule

The Whole Life Split

The Deferred Term Trick

Annual → Continuous or 1/mthly life
Concepts and Their Ideas

Annual → Continuous or 1/mthly life
Multipliers & Don’t …

General Valuation Principle

Differing Insurance Benefits
Increasing Insurance

Differing Insurance Benefits
Geometric Progression

Note on Select Lives

Annuity Certain

Annuity Certain
3 types + formulas

Annuity Types

Annuity Certain
1/m-thly

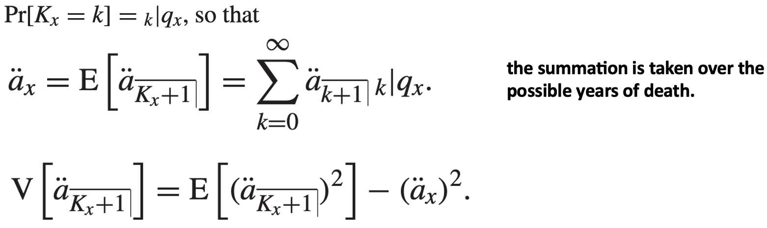
r.v. representing PV of the whole life annuity-due for (x)


Using the insurance present value random variable
Summing EPVs of individual payments
Using the probability function for Kx
Finding Whole Life Annuity Formulae
Using the insurance present value random variable

Finding Whole Life Annuity Formulae
Summing EPVs of individual payments

Finding Whole Life Annuity Formulae
Using the probability function for Kx

Term Annuity-Due

WL Annuity-Due → WL Immediate Annuity

Term Immediate Life Annuity

Continuous Whole Life Annuity

Continuous Term Annuity

Annuities Payable 1/m-thly
Properties

Whole Life 1/m-thly annuity-due
PV r.v.

Whole Life 1/m-thly annuity-due
EPV

Whole Life 1/m-thly immediate annuity

Term Life 1/m-thly annuity-due

Term life immediate annuity payable 1/m-thly

Comparison of sizes PV annuities

Deferred Annuities

Guaranteed Annuities

Increasing Annuities

Arithmetically increasing annuities

Geometrically increasing annuities

Evaluating Annuity Functions

Evaluating Annuity Functions
Recursions

Evaluating Annuity Functions
Applying the UDD assumption

Numerical Illustrations and Method Comparison
Contenders

Numerical Illustrations and Method Comparison
Verdict

Functions for select lives

Annuities
Overview

EPV:
Continuous Whole Life Annuity
Discrete Whole Life Annuity-Due
Discrete Whole Life Annuity-Immediate
