O-Chem 2 Lecture Exam 1

0.0(0)
studied byStudied by 0 people
0.0(0)
full-widthCall with Kai
GameKnowt Play
New
learnLearn
examPractice Test
spaced repetitionSpaced Repetition
heart puzzleMatch
flashcardsFlashcards
Card Sorting

1/79

encourage image

There's no tags or description

Looks like no tags are added yet.

Study Analytics
Name
Mastery
Learn
Test
Matching
Spaced

No study sessions yet.

80 Terms

1
New cards

II

An unknown compound A has the molecular formula C12H16O. Compound A absorbs strongly in the IR at 1700 cm-1. The NMR spectral data of compound A is given below. What is the structure of compound A?

<p>An unknown compound A has the molecular formula C12H16O. Compound A absorbs strongly in the IR at 1700 cm-1. The NMR spectral data of compound A is given below. What is the structure of compound A?</p>
2
New cards

A: 4

B:3

C:5

D:3

For each of the following compounds, indicate how many 13CNMR signals will be seen.

<p>For each of the following compounds, indicate how many 13CNMR signals will be seen.</p>
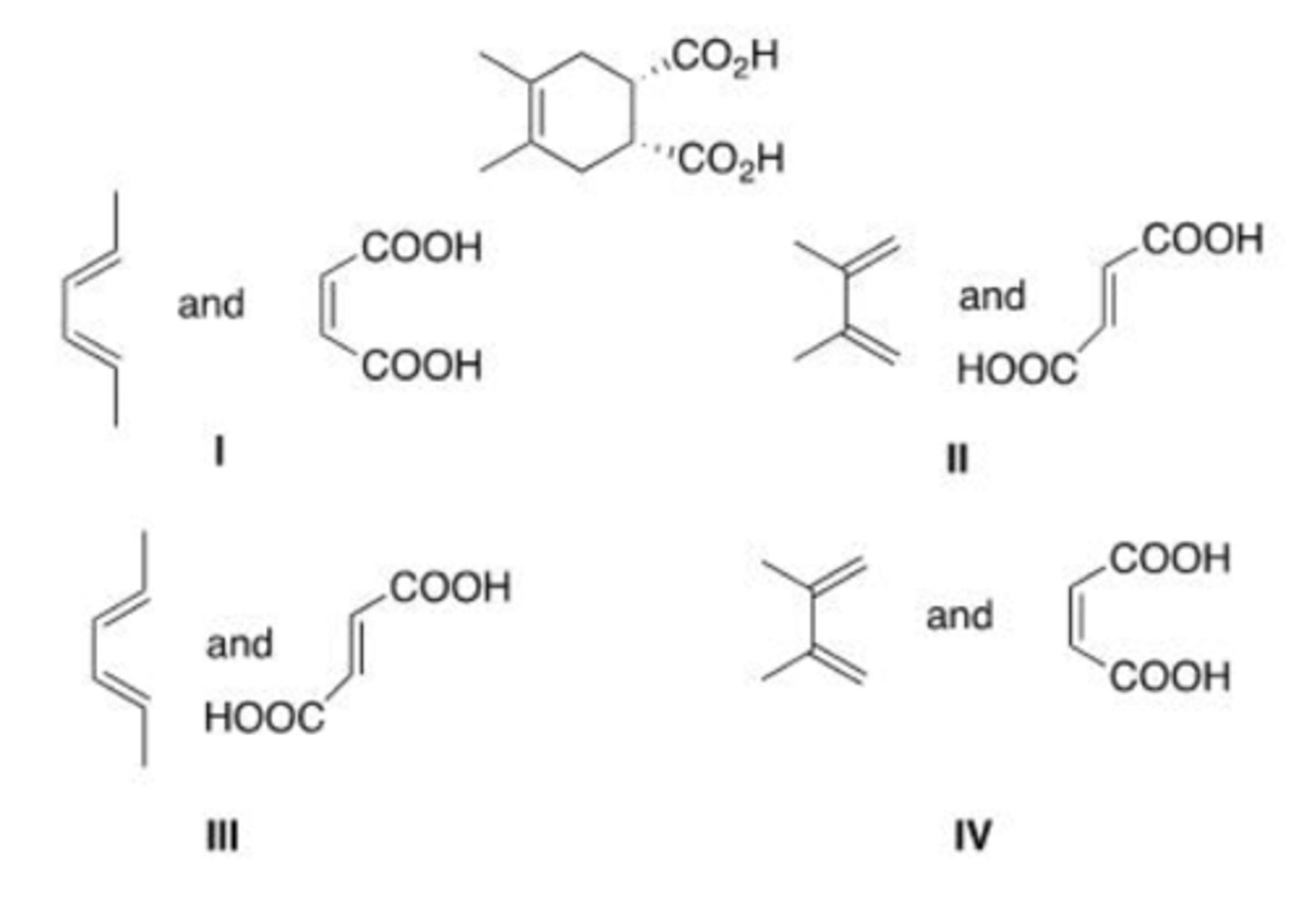
3
New cards

I:2

II:6

III:1

How many peaks would be observed for each of the circled protons in the compounds below?

<p>How many peaks would be observed for each of the circled protons in the compounds below?</p>
4
New cards

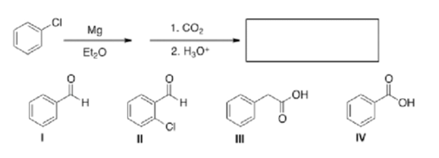
Radio frequency

What region of the electromagnetic spectrum does nuclear magnetic resonance spectroscopy use?

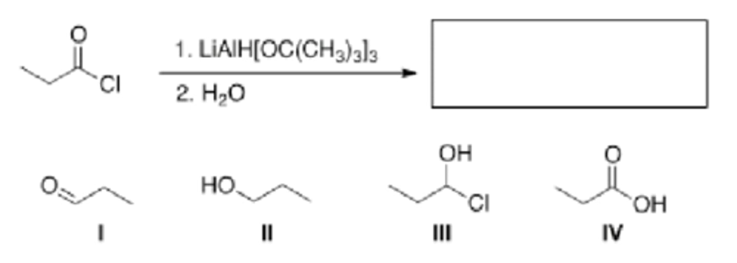
5
New cards

B

knowt flashcard image
6
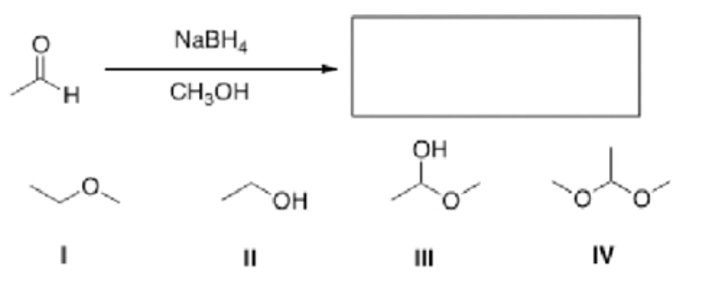
New cards

III

knowt flashcard image
7
New cards

I:2

II:4

III:7

knowt flashcard image
8
New cards

Ha

knowt flashcard image
9
New cards

II

knowt flashcard image
10
New cards

II

knowt flashcard image
11
New cards

Hd

knowt flashcard image
12
New cards

I:2

II:7

III:4

knowt flashcard image
13
New cards

Chemical shift in Delta will remain the same

What effect does increasing the operating frequency of a 1HNMR spectrum have on the value of the chemical shift in Delta?

14
New cards

I:2

II:4

III:5

knowt flashcard image
15
New cards

I:7

II:4

III:3

IV:4

knowt flashcard image
16
New cards

C

knowt flashcard image
17
New cards

Enantiopic

What is the relationship between Ha and Hb in the following compound?

<p>What is the relationship between Ha and Hb in the following compound?</p>
18
New cards

7

knowt flashcard image
19
New cards

I:6

II:3

III:4

knowt flashcard image
20
New cards

I

knowt flashcard image
21
New cards

PrP

knowt flashcard image
22
New cards

Only I and III

knowt flashcard image
23
New cards

SP2

knowt flashcard image
24
New cards

I

knowt flashcard image
25
New cards

D

What is the major organic product of the following reaction?

<p>What is the major organic product of the following reaction?</p>
26
New cards

Electrophilic addition

Which of the following is the appropriate term for the mechanism of the addition of HBr to 1,3 dienes?

27
New cards

(E)-3-Bromo-2-Pentene

Which of the following is not a product obtained from the addition of 1 equivalent of HBr to (E)-1,3-pentadiene?

28
New cards

II

Which of the following are the conjugated dienes?

<p>Which of the following are the conjugated dienes?</p>
29
New cards

IV

Which of the following compounds is the most reactive dienophile in a Diels-Alder reaction?

<p>Which of the following compounds is the most reactive dienophile in a Diels-Alder reaction?</p>
30
New cards

I, II, and III

What is (are) the major product(s) of the following reaction?

<p>What is (are) the major product(s) of the following reaction?</p>
31
New cards

II

What is (are) the major product(s) of the following reaction?

<p>What is (are) the major product(s) of the following reaction?</p>
32
New cards

The placement of P bonds is different

Which of the following statements about resonance structure is true?

33
New cards

Low Temperature

knowt flashcard image
34
New cards

IV

Which of the following is the least reactive diene in a Diels-Alder reaction?

<p>Which of the following is the least reactive diene in a Diels-Alder reaction?</p>
35
New cards

IV

Which of the following compounds is the least reactive dienophile in a Diels-Alder reaction?

<p>Which of the following compounds is the least reactive dienophile in a Diels-Alder reaction?</p>
36
New cards

The stereochemistry of the dienophile is retained in the product

Which of the following statements about Diels-Alder is true?

37
New cards

The kinetic product predominates at low temperature

Which of the following statements about kinetic vs. thermodynamic products is true?

38
New cards

Three Pi bonds break: two sigma bonds and one pi bond form

Which of the following statements about the mechanism of the Diels-Alder reaction is true?

39
New cards

IV

What diene and dienophile are used in a Diels-Alder reaction to prepare the following compound?

<p>What diene and dienophile are used in a Diels-Alder reaction to prepare the following compound?</p>
40
New cards

II

Which of the following compound absorbs UV light at the longest wavelength?

<p>Which of the following compound absorbs UV light at the longest wavelength?</p>
41
New cards

I

What is the major organic product of the following reaction?

<p>What is the major organic product of the following reaction?</p>
42
New cards

LiAlH4

What reagent would be used to reduce an amide to amine?

43
New cards

Benzyl bromide

What is the starting material int he reaction below?

<p>What is the starting material int he reaction below?</p>
44
New cards

Both increased number og C-H bonds and fewer C-Z bonds

If a compound is reduced, what is the result?

45
New cards

Nucleophilic attack followed by protonation

What are the two steps in a nucleophilic addition mechanism?

46
New cards

To protect alcohols from organometallics reagents and other reagents

What is the purpose of Siyl Ether?

47
New cards

Both reagents contain polar metal-hydrogen bonds. The polarity of the B-H bond is less than the polarity of the Al-H bond. So LiAlH4 is the stronger reducing agent

Both LiAlH4 and NaBH4 are reducing agents. Which statement about these reagents is true?

48
New cards

II

What is the product of the following reaction?

<p>What is the product of the following reaction?</p>
49
New cards

I and II

What is the product of the following reaction?

<p>What is the product of the following reaction?</p>
50
New cards

C

What will be the product of the following reaction (before any aqueous work-up)

<p>What will be the product of the following reaction (before any aqueous work-up)</p>
51
New cards

LiAlH4

H20

What is the missing reagent in the reaction below?

<p>What is the missing reagent in the reaction below?</p>
52
New cards

Sterics and electronics

Which of the following terms explain why aldehydes are more reactive than ketones?

53
New cards

Organometallic reagents are strong acids that readily donate proton to water

Which of the following statements about organometallics reagents is NOT true?

54
New cards

IV

What is the major organic product of the following reaction?

<p>What is the major organic product of the following reaction?</p>
55
New cards

II

Rank the following compounds in order of increasing reactivity in nucleophilic acyl substitution reactions, starting

with the least reactive compound.

<p>Rank the following compounds in order of increasing reactivity in nucleophilic acyl substitution reactions, starting</p><p>with the least reactive compound.</p>
56
New cards

II

What is the major organic product of the following reaction?

<p>What is the major organic product of the following reaction?</p>
57
New cards

IV

What is the major organic product of the following reaction?

<p>What is the major organic product of the following reaction?</p>
58
New cards

I

What is the major organic product of the following reaction?

<p>What is the major organic product of the following reaction?</p>
59
New cards

I

What is the major organic product of the following reaction?

<p>What is the major organic product of the following reaction?</p>
60
New cards

II

What is the major organic product of the following reaction?

<p>What is the major organic product of the following reaction?</p>
61
New cards

-5 kcal/mol

for step [1], 58 kcal/mol

chain propagation step, only 2 and 3

This reaction could concievably occur by the following chain mechanism [1], [2], and [3]. Determine DH for step [2].

<p>This reaction could concievably occur by the following chain mechanism [1], [2], and [3]. Determine DH for step [2].</p>
62
New cards

2

How many products, including stereoisomers, are formed when R-2,4-dimethylpent-2-ene is treated with HBr in presence of peroxides?

63
New cards

I and II

knowt flashcard image
64
New cards

2

How many monochlorination products can be formed from the reaction of (ch3)3Ch with Cl2 and Hv?

65
New cards

4

How many monocholrination products (constitutional isomers and stereoisomers) are formed from the reaction of pentane with Cl2 and hv?

66
New cards

radicals rearrange

What of the following statements about the radical reactions is NOT true?

67
New cards

IV

knowt flashcard image
68
New cards

III

Which of the indicated hydrogens is most readily abstracted in a free radical halogenation reaction?

<p>Which of the indicated hydrogens is most readily abstracted in a free radical halogenation reaction?</p>
69
New cards

propagation

Which steps are the rate-determining steps in the mechanism of radical halogenation?

70
New cards

IV

What is the product of the following reaction?

<p>What is the product of the following reaction?</p>
71
New cards

The first chain-propagating steps is rate-determining.

The reaction proceeds by way of a flat sp2 hybridized free radical

Which of the following statements is TRUE about free radical halogenation of alkenes?

72
New cards

Chlorination is faster than Bromination

Which of the following statements about Chlorination and Bromination is TRUE?

73
New cards

An achiral starting material always gives either an achiral or a racemic product

Which of the following statements about the stereochemistry of halogenation reactions is TRUE?

74
New cards

4

How many allylic halides can be formed when 3-methylcyclohexane undergoes allylic halogenation with one equivalent of NBS and light?

75
New cards

III

secondary radical carbon, IV

tertiary radical carbon, I

knowt flashcard image
76
New cards

O2

Which of the following is a radical scavenger?

77
New cards

less stable radicals generally do not rearrange to more stable radicals

Which of the following statements about radicals is TRUE?

78
New cards

II

What is the product in the following sequence reation?

<p>What is the product in the following sequence reation?</p>
79
New cards

I

What is the product of the following reaction?

<p>What is the product of the following reaction?</p>
80
New cards

III

Rank the following radicals in order of increasing stability, putting the least stable first.

<p>Rank the following radicals in order of increasing stability, putting the least stable first.</p>