MATH 227: 11.10 (Taylor & Maclaurin Series) Day 2

0.0(0)
studied byStudied by 0 people
0.0(0)
full-widthCall with Kai
GameKnowt Play
New
learnLearn
examPractice Test
spaced repetitionSpaced Repetition
heart puzzleMatch
flashcardsFlashcards
Card Sorting

1/20

encourage image

There's no tags or description

Looks like no tags are added yet.

Study Analytics
Name
Mastery
Learn
Test
Matching
Spaced

No study sessions yet.

21 Terms

1
New cards
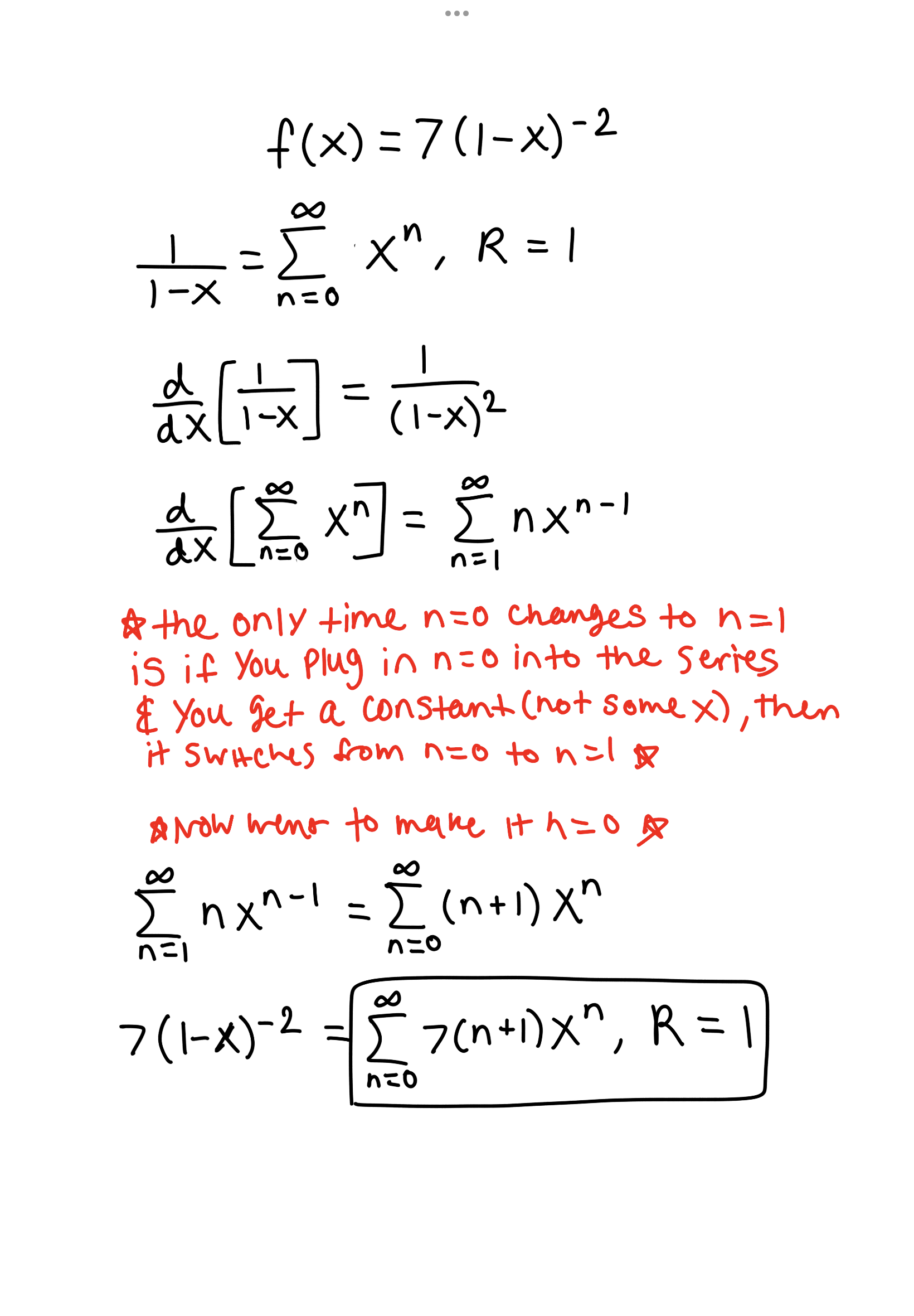
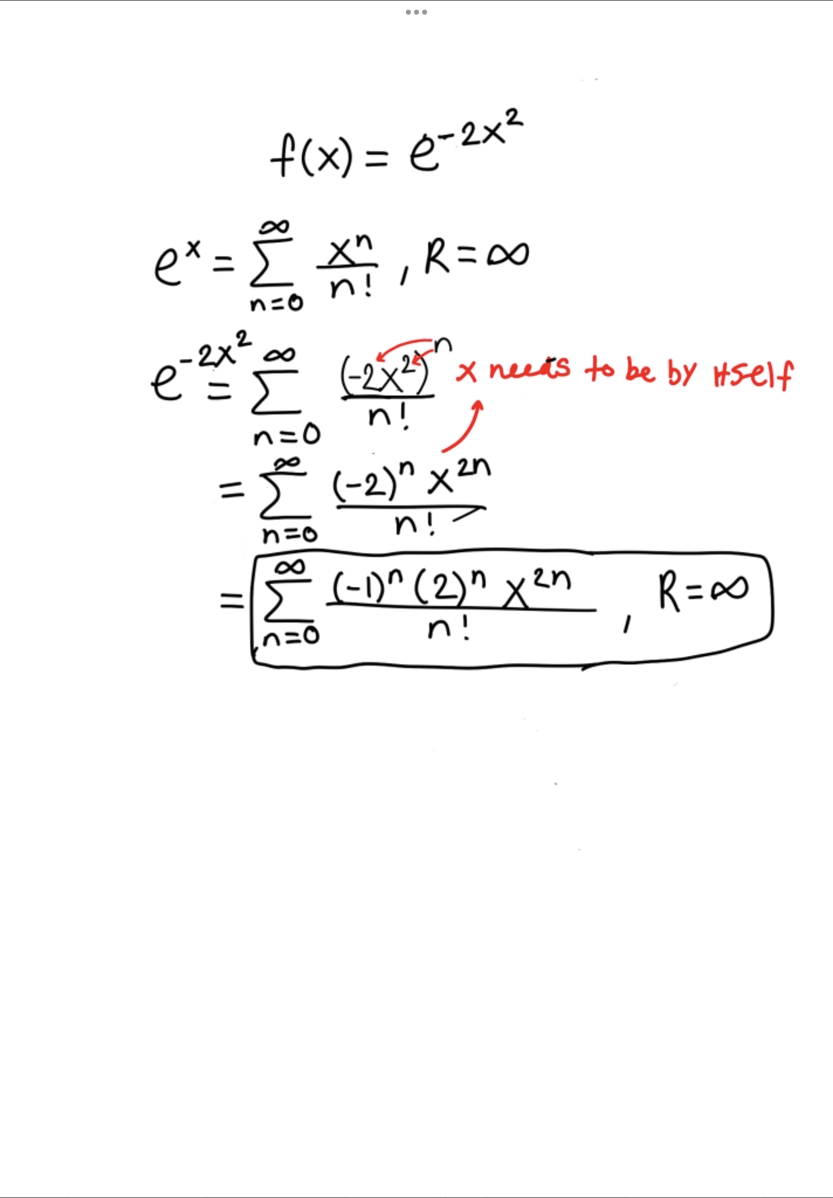
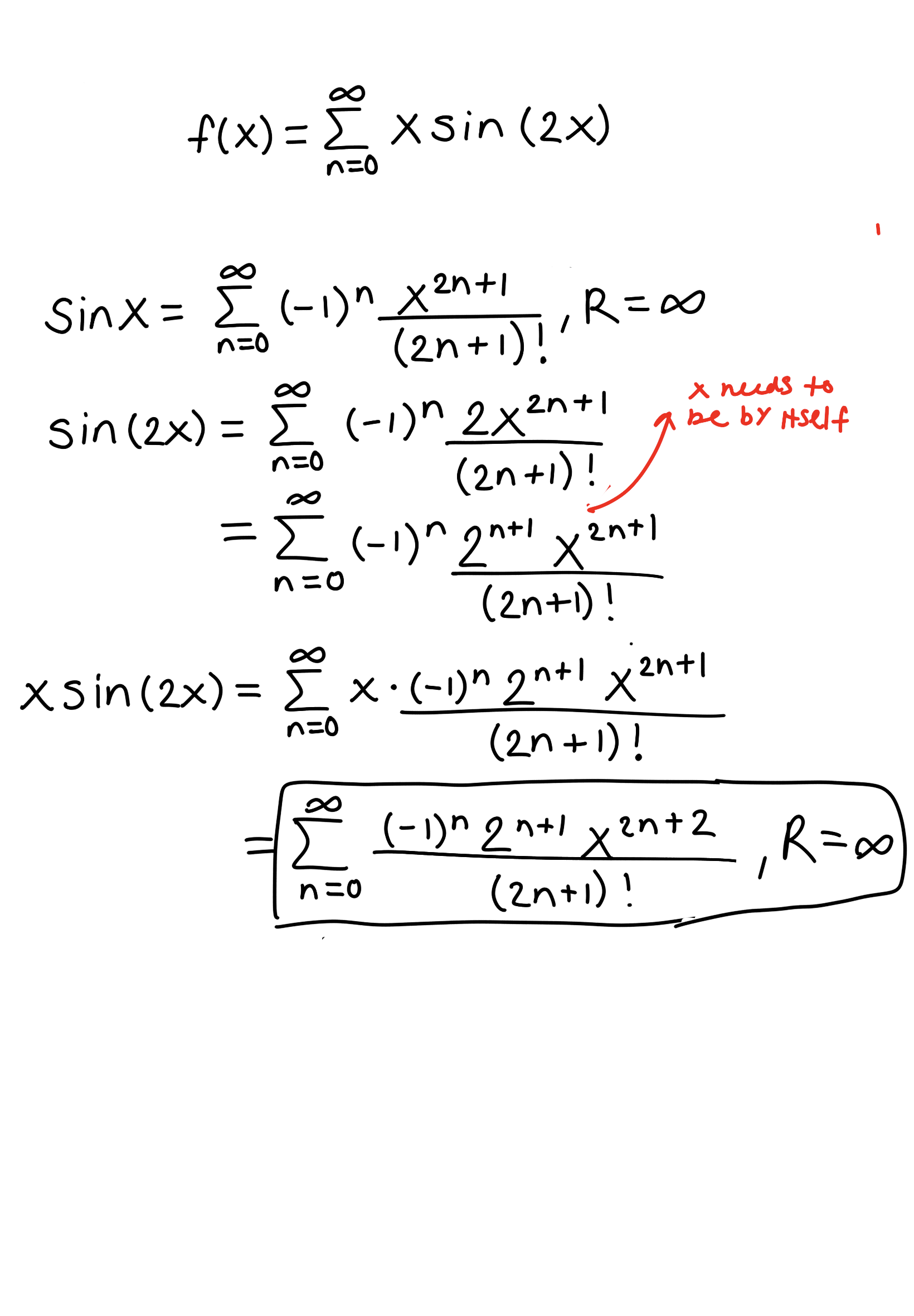
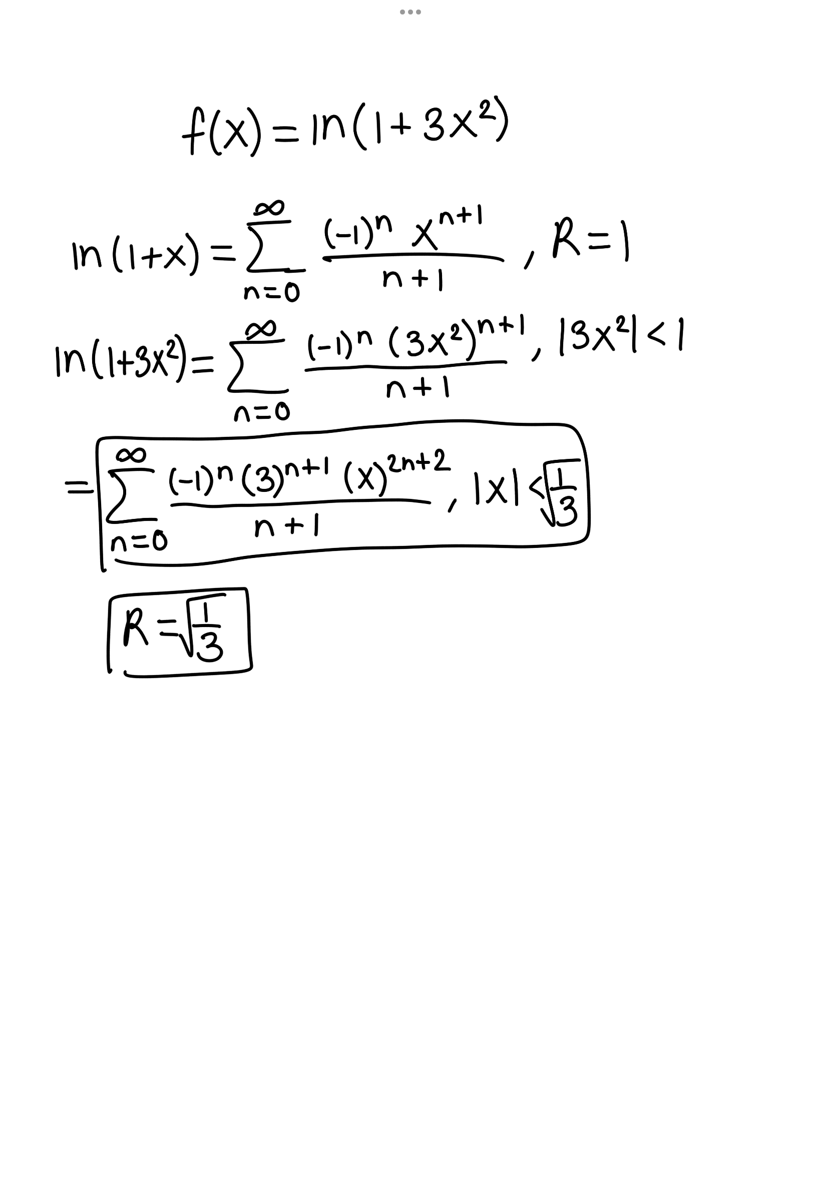
<ul><li><p>Find a power series representation for the function</p></li><li><p>Determine the radius of convergence</p></li></ul><p></p>
  • Find a power series representation for the function

  • Determine the radius of convergence

knowt flashcard image
2
New cards
<ul><li><p>Find a power series representation for the function</p></li><li><p>Determine the radius of convergence</p></li></ul><p></p>
  • Find a power series representation for the function

  • Determine the radius of convergence

knowt flashcard image
3
New cards
<ul><li><p>Find a power series representation for the function</p></li><li><p>Determine the radius of convergence</p></li></ul><p></p>
  • Find a power series representation for the function

  • Determine the radius of convergence

knowt flashcard image
4
New cards
<ul><li><p>Find a power series representation for the function</p></li><li><p>Determine the radius of convergence</p></li></ul><p></p>
  • Find a power series representation for the function

  • Determine the radius of convergence

knowt flashcard image
5
New cards
<ul><li><p>Find a power series representation for the function</p></li><li><p>Determine the radius of convergence</p></li></ul><p></p>
  • Find a power series representation for the function

  • Determine the radius of convergence

knowt flashcard image
6
New cards
<ul><li><p>Find a power series representation for the function</p></li><li><p>Determine the radius of convergence</p></li></ul><p></p>
  • Find a power series representation for the function

  • Determine the radius of convergence

knowt flashcard image
7
New cards
<ul><li><p>Find a power series representation for the function</p></li><li><p>Determine the radius of convergence</p></li></ul><p></p>
  • Find a power series representation for the function

  • Determine the radius of convergence

knowt flashcard image
8
New cards
<ul><li><p>Find a power series representation for the function</p></li><li><p>Determine the radius of convergence</p></li></ul><p></p>
  • Find a power series representation for the function

  • Determine the radius of convergence

knowt flashcard image
9
New cards
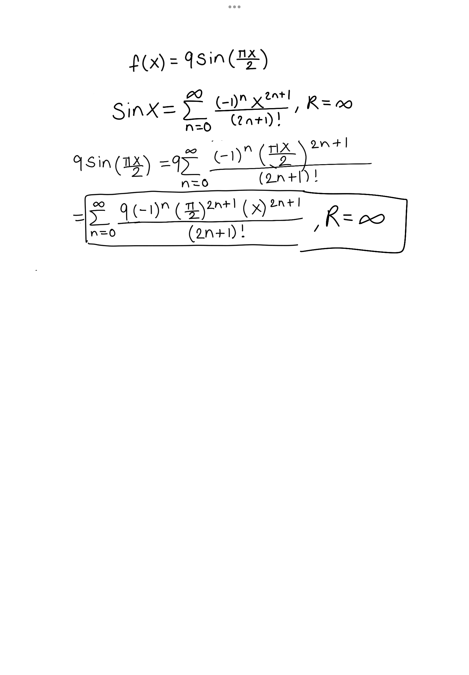
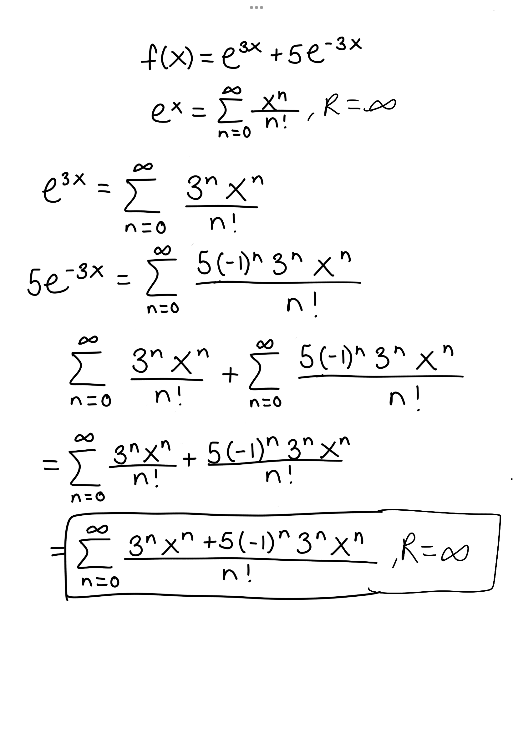
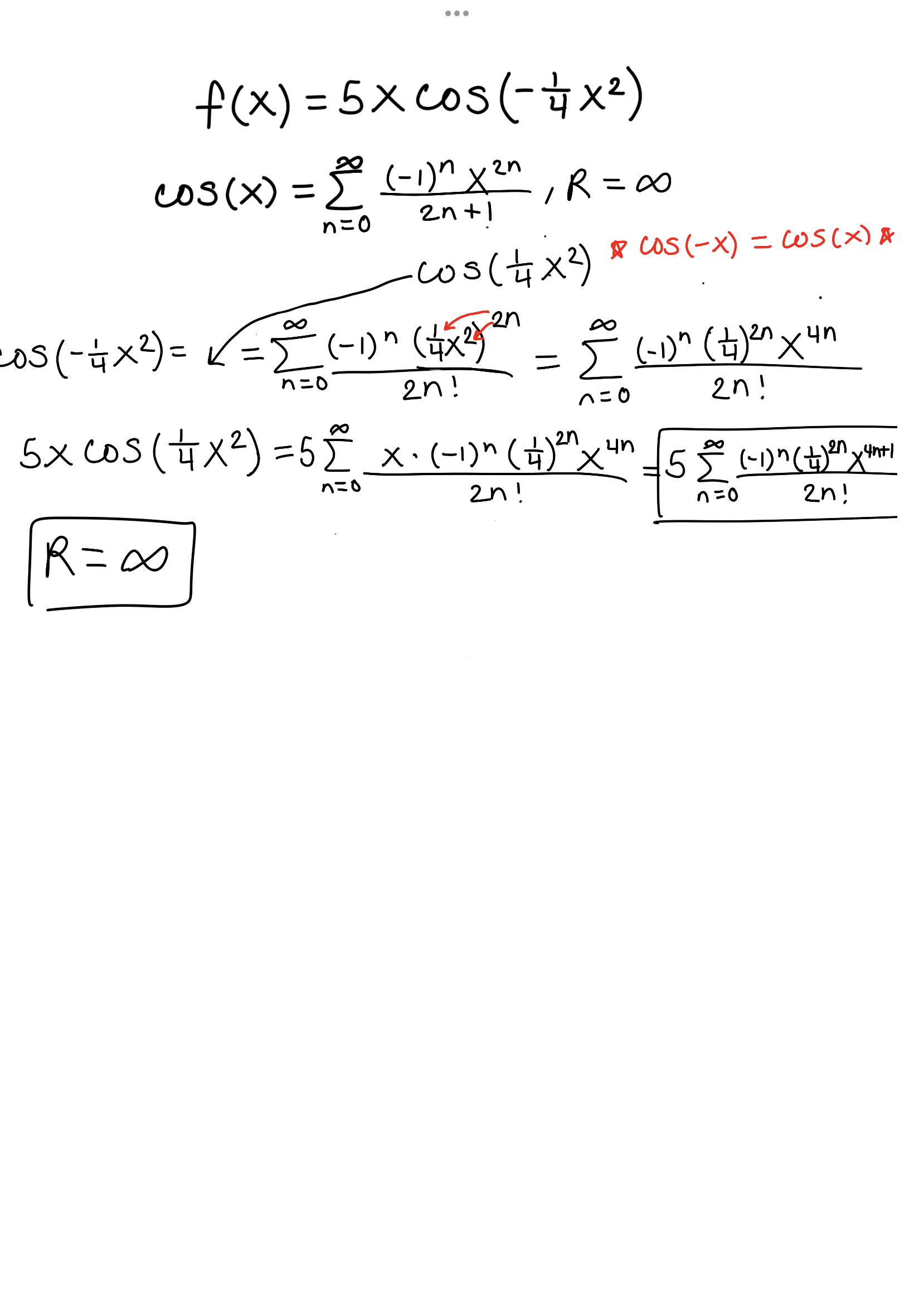
<ul><li><p>Find a (Maclaurin) power series representation for the function</p></li><li><p>Determine the radius of convergence</p></li></ul><p></p>
  • Find a (Maclaurin) power series representation for the function

  • Determine the radius of convergence

knowt flashcard image
10
New cards
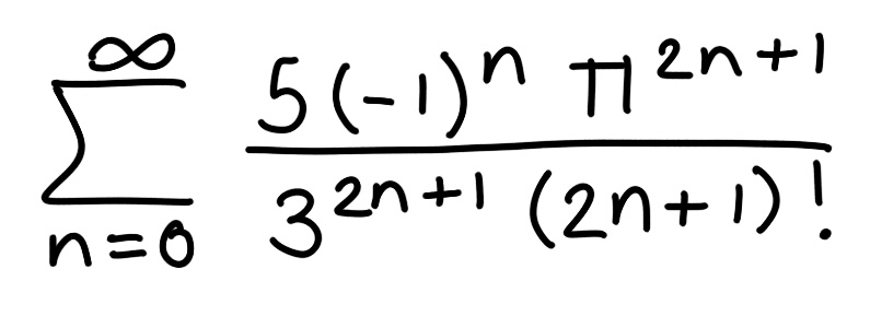
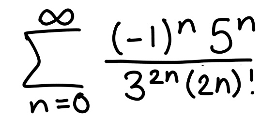
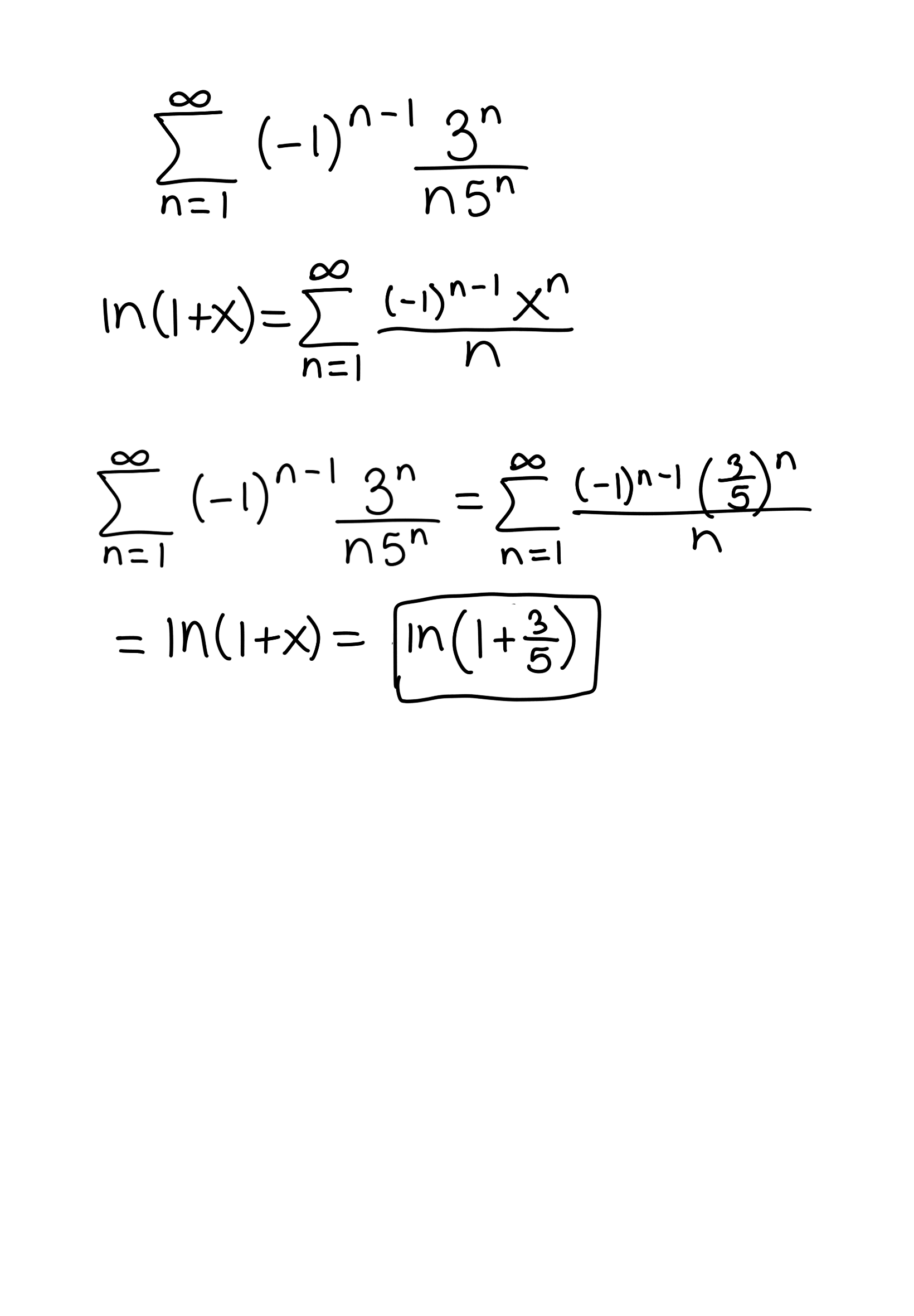
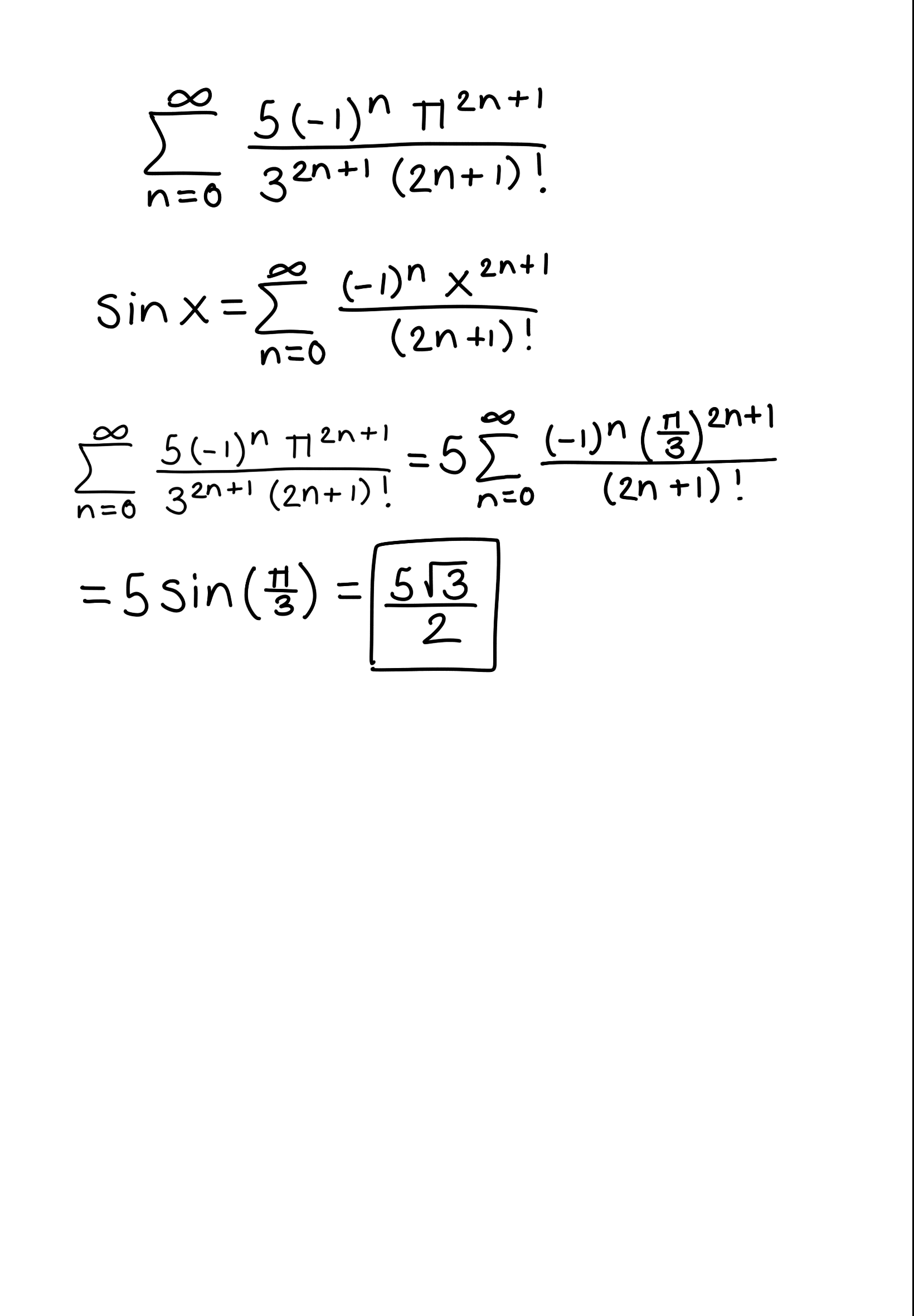
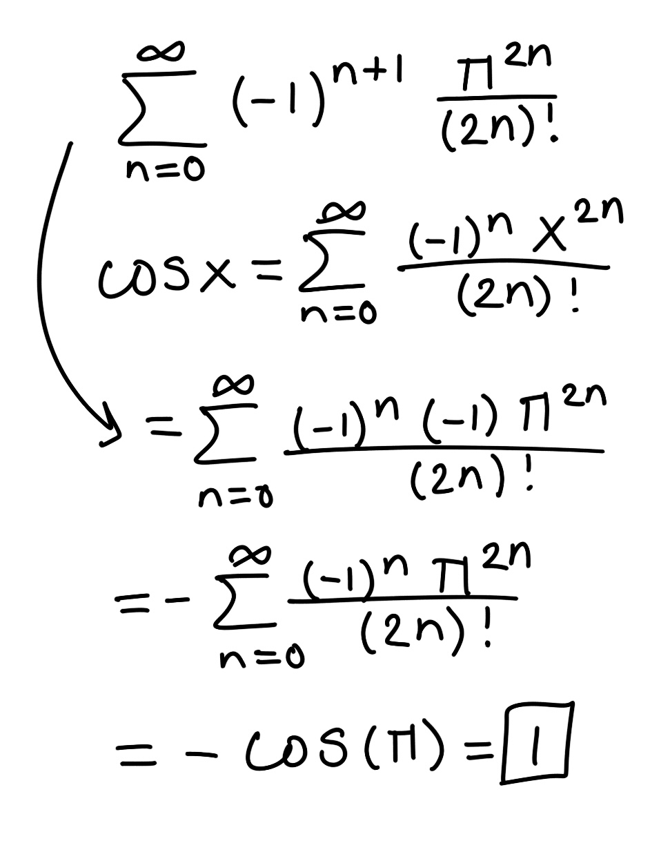
<p><span>Find the sum of the series</span></p>

Find the sum of the series

knowt flashcard image
11
New cards
<p><span>Find the sum of the series</span></p>

Find the sum of the series

knowt flashcard image
12
New cards
<p><span>Find the sum of the series</span></p>

Find the sum of the series

knowt flashcard image
13
New cards
<p><span>Find the sum of the series ~</span></p>

Find the sum of the series ~

knowt flashcard image
14
New cards
<p><span>Find the sum of the series</span></p>

Find the sum of the series

knowt flashcard image
15
New cards
<p>Find the sum of the series</p>

Find the sum of the series

knowt flashcard image
16
New cards
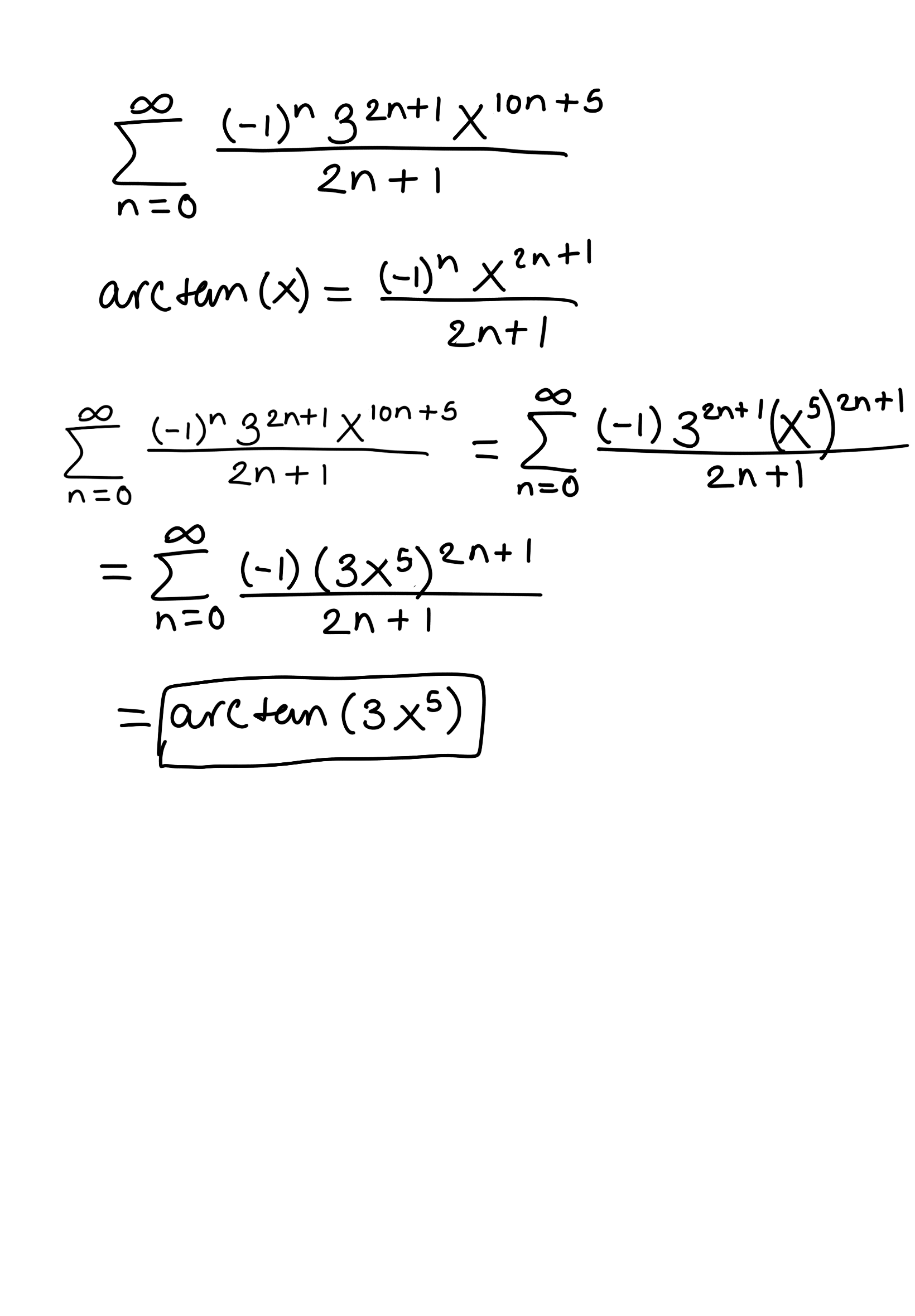
<p>Find the function of the power series&nbsp;</p>

Find the function of the power series 

knowt flashcard image
17
New cards
<p>Find the function of the power series&nbsp;</p>

Find the function of the power series 

knowt flashcard image
18
New cards
<p>Find the function of the power series&nbsp;</p>

Find the function of the power series 

knowt flashcard image
19
New cards
<p>Find the function of the power series&nbsp;</p>

Find the function of the power series 

knowt flashcard image
20
New cards
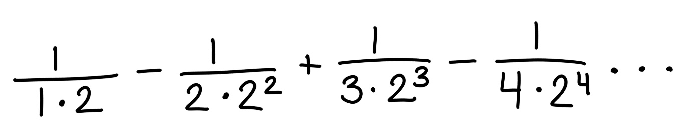
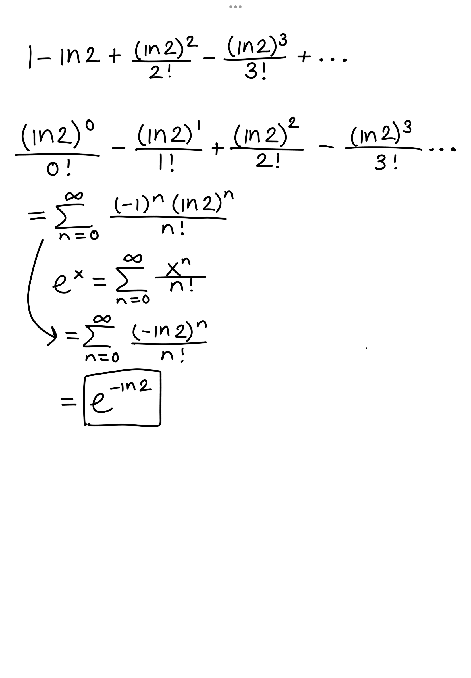
<p>Find the sum of the series</p>

Find the sum of the series

knowt flashcard image
21
New cards
<p>Find the sum of the series</p>

Find the sum of the series

knowt flashcard image

Explore top flashcards

Unit 1 Test
Updated 722d ago
flashcards Flashcards (110)
Unit 13 AP Psych
Updated 198d ago
flashcards Flashcards (44)
AP Spanish 1.3 Vocab
Updated 364d ago
flashcards Flashcards (61)
Psych final
Updated 535d ago
flashcards Flashcards (58)
Unit 1 Test
Updated 722d ago
flashcards Flashcards (110)
Unit 13 AP Psych
Updated 198d ago
flashcards Flashcards (44)
AP Spanish 1.3 Vocab
Updated 364d ago
flashcards Flashcards (61)
Psych final
Updated 535d ago
flashcards Flashcards (58)