1/18
Looks like no tags are added yet.
Name | Mastery | Learn | Test | Matching | Spaced | Call with Kai |
|---|
No analytics yet
Send a link to your students to track their progress
Caratteristiche strutturali dei recettori nicotinici e classificazione
pag. 31-32-33
Caratteristiche comuni:
Sono tutti ROC e pentamerici che una volta attivati consentono il flusso di ioni postitivi (Na, Ca, K) secondo il loro gradiente di concentrazione portando ad una depolarizzazione della membrana.
2 tipi di recettori:
Nn—> recettori nicotinici neurali: recettori che si trovano a livello del gangli del sistema simpatico e parasimpatico. Possono essere alfa7 o alfa4beta2. Gli alfa7 sono meno affini infatti hanno bisogno di legare 5 molecole di Ach per potersi attivare mentre gli alfa4beta2 sono più affini e hanno bisogno solo di 2 molecole
Nm—>recettori muscolari: localizzati a livello dei gangli della placca motrici, sono tutti alfa2betagammadelta
Classificazione dei farmaci che agiscono sui recettori nicotinici
agonisti recettoriali (sostanze nicotino-mimetiche)
Anticolinesterasici (sostanze anti-nicotiniche)
Molecole competitive—> si legano al sito ortosterico
Molecole non competitive—> si legano al sito ortostetico
Antagonisti nicotinici: Ganglioplegici e bloccanti neuromuscolari (curaro simili)
DMPP (struttura + classe di farmaco)
Agonista competitivo dei recettori nicotinici preferenziale dei gangli

PTMA (struttura + classe di farmaco)
Agonista competitivo dei recetttori nicotinici preferenziale della placca motrice

Esametonio (struttura + classe di farmaco)
Antagonista competitivo dei recettori nicotinici gangliari

Decametonio (struttura + classe di farmaco)
Antagonista competitivo dei recettori nicotinici della muscolatura scheletrica

Epibatidina (struttura + caratteristiche)
Molecola di origine naturale che è diventata il punto di partenza per cercare si ottenere molecole attive e selettive a livello centrale. Agisce con elevata affinità (30 volte più affine della nicotina) su tutti i recettori nicotinici ed è molto potente

TEA

Pentolinio

Macamilammina

Meccanismo d’azione e caratteristiche dei ganglioplegici
Pag. 38
Bloccano la trasmissione dell’imulso nervoso simpatico e parasimpatico.
Meccanismo: blocco recettoriale (lunghezza del separatore 5/6 gruppi metilenici combaciano con la struttura del recettore)

Riconosci questa molecola e spiega le sue caratteristiche
D-tubocurarina
Molecola naturale di riferimento dei pachicurari, struttura complessa: un cloruro ed un cloroidrato—>carica permanente=attiva solo a livello periferico, breve durata d’azione non somministrabile per via orale.
Effetti collaterali: rilascio di istamina dai mastocisti —> broncospasmo, eruzioni cutanee e calo di pressione

Riconosci la molecola e a che gruppo di molecola appartiene
Pancuronio
Antagonista dei recettori nicotinici curarosimili:
pachicuraro
Antagonista competitivo
Antagonista non depolarizzante
potente, azione rapida ma da tachicardia

Riconosci la molecola e a che gruppo appartiene
Vecuronio
Antagonista dei recettori nicotinici curarosimili:
pachicuraro
Antagonista competitivo
Antagonista non depolarizzante

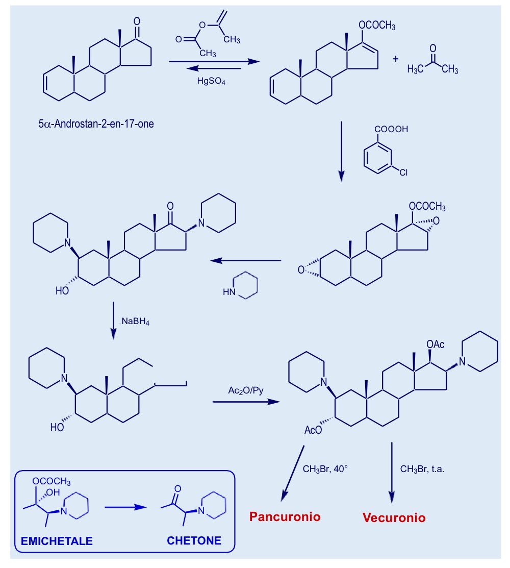
Completa questa sintesi


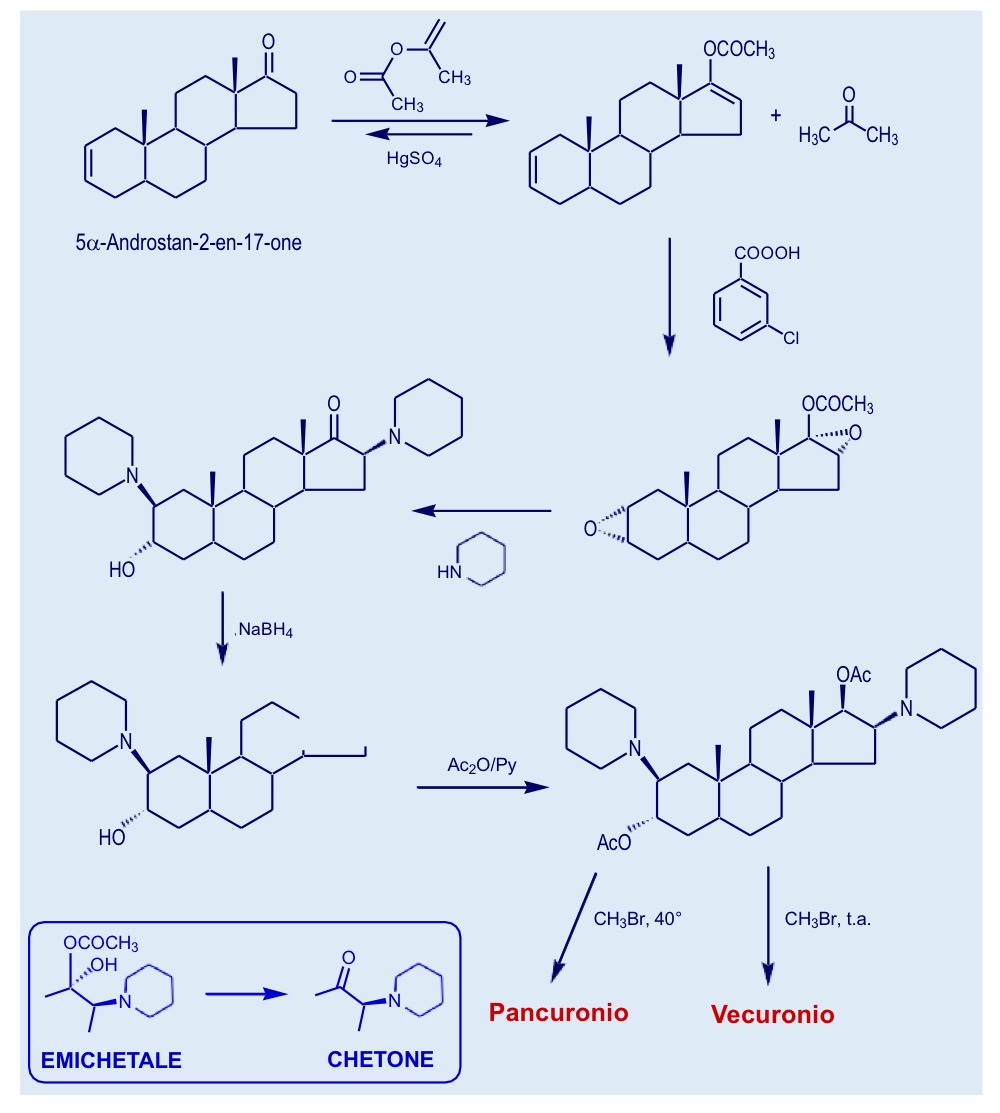
Completa questa sintesi

Pachicurari caratteristiche ed esempi
Pag.40
Antagonista dei recettori nicotinici curarosimili:
Antagonista competitivo
Antagonista non depolarizzante
Esempi:
tubocurarina
Pencuronio
Vecuronio
Leptocurari caratteristiche ed esempi
Pag.40
Antagonista dei recettori nicotinici curarosimili:
Antagonista non competitivo
Antagonista depolarizzante
Esempio:
Decametonio
Suxametonio
Suxametonio (struttura e caratteristiche)
