1/25
Looks like no tags are added yet.
Name | Mastery | Learn | Test | Matching | Spaced |
|---|
No study sessions yet.
What is the formula for Modus Ponens (M.P.)?

What is the formula of Modus Tollens (M.T)?

What is the formula of Hypothetical Syllogism (H.S.)?

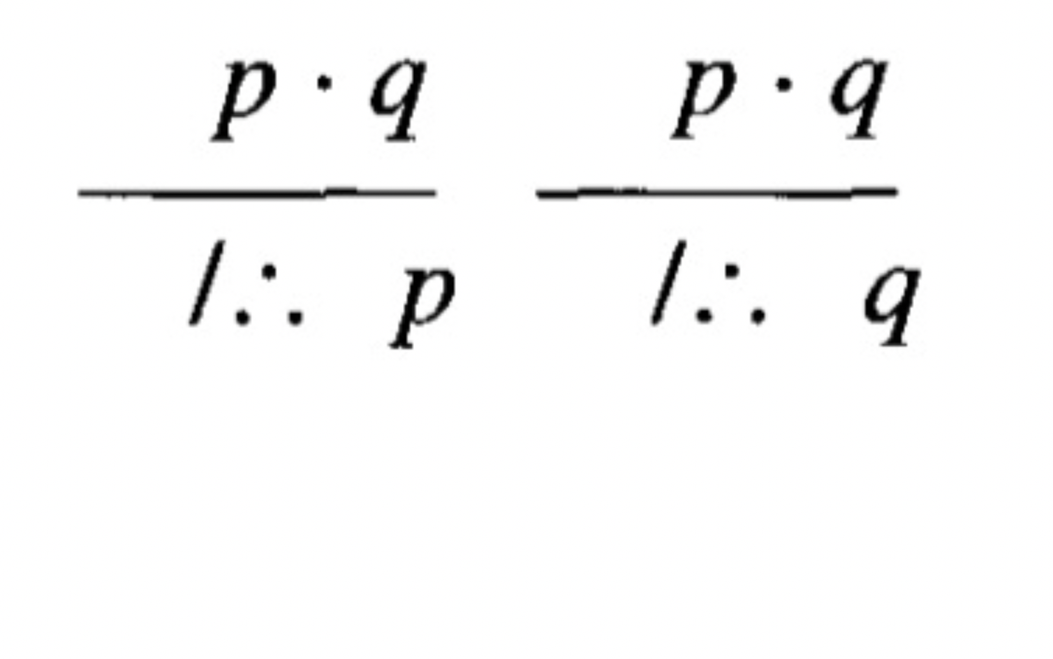
What is the formula of Simplification (Simp.)?

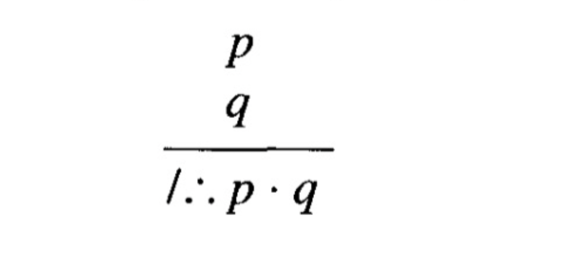
What is the formula of Conjunction (Conj.)?

What is the formula for Dilemma (Dil.)

What is the formula for Disjunctive Syllogism (D.S.)?

What is the formula for Addition (Add.)?

What is the formula for Double Negation (D.N.)

What is the formula for Duplication (Dup.)?

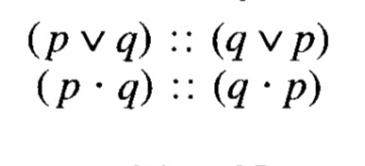
What is the formula for Commutation (Comm.)?

What is the formula for Association (Assoc.)?

What is the formula for Contraposition (Contrap.)?

What is the formula for DeMorgan’s (DeM.)?

What is the formula for Biconditional Exchange (B.E.)?

What is the formula for Conditional Exchange (C.E.)?

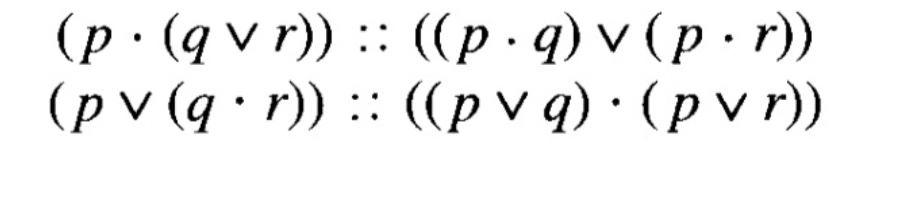
What is the formula for Distribution (Dist.)

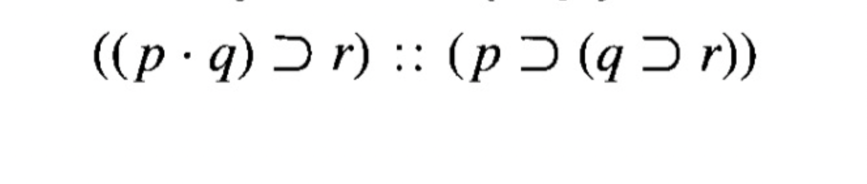
What is the formula for Exportation (Exp.)?

What is the formula for Conditional Proof?

What is the formula for Indirect Proof?

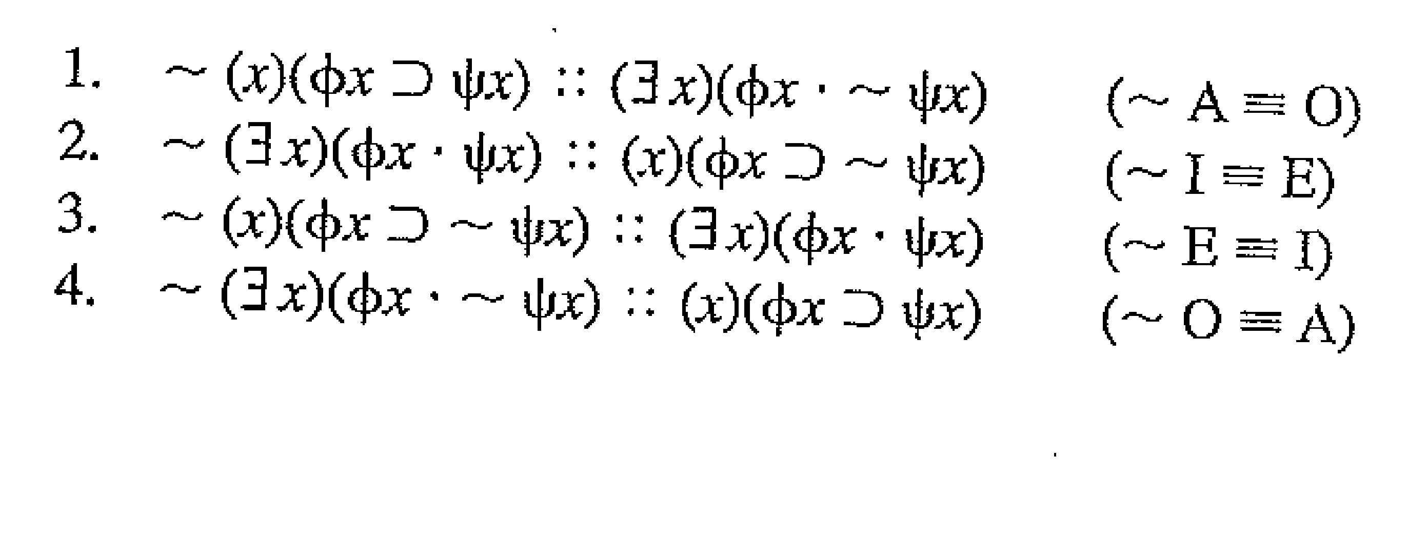
What are the Q.N. Rules?

What are the C.Q.N. Rules?

What is the formula for Universal Instantiation (U.I)?

What is the formula for Existential instantiation (E.I.)?

What is the formula for Universal Generalization (U.G.)?

What is the formula for Existential Generalization (E.G.)?
