1/25
Looks like no tags are added yet.
Name | Mastery | Learn | Test | Matching | Spaced |
|---|
No study sessions yet.
Domain
The set of all possible input values (x-values) of a function.
Range
The set of all possible output values (y-values) of a function.
Discrete Domain
A set of input values that consists of only certain numbers in an interval.
We list out the numbers in the domain in brackets.
Continuous Domain
A set of input values that consist of all numbers in an interval.
We write the domain as an inequality.
Function
A relation in which each element of the domain is paired with exactly one element of the range.
Function Notation
Another name for y denoted as f(x) and read as "f of x".

Increasing
A function's graph moves up as x moves to the right.

Decreasing
A function's graph moves down as x moves to the right.

Independent Variable
The variable that represents the input values (x-values) of a function.
Dependent Variable
The variable that represents output values of a function.
Linear Function
A function whose graph is a nonvertical line.

Nonlinear Function
A function that does not have a constant rate of change whose graph is not a line.

Relation
A collection of ordered pairs that connects two sets taking one number from each set.
Slope
The rate of change between any two points on a line.
Slope-Intercept Form
A linear equation written in the form y=mx+b. Where m is the slope and b is the y-intercept.

Standard Form
A linear equation written in the form Ax+By=, C where A, B, and C are real numbers and A and B are not both zero.

x-intercept
The point where the graph intersects the x-axis.

y-intercept
The point where the graph intersects the y-axis.

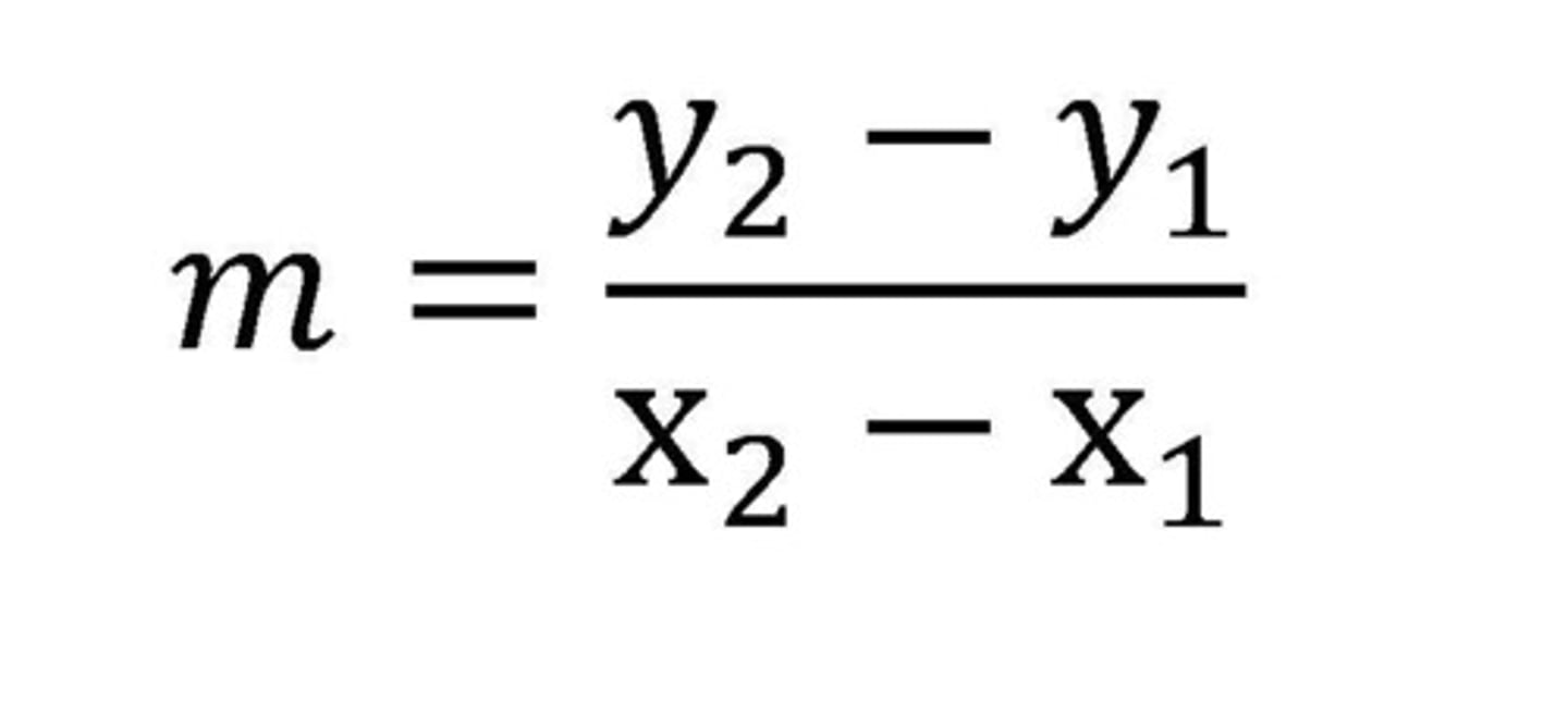
Slope Formula

Positive Slope

Negative Slope

Zero Slope
Horizontal lines have a slope of zero.

Undefined Slope
Vertical lines have an undefined slope.

Equation of a Vertical Line
x=a, where a is the x-intercept

Equation of a Horizontal Line
y=b, where b is the y-intercept

Vertical Line Test
Given a graph, this test is used to determine whether the relation is a function.