1/7
Looks like no tags are added yet.
Name | Mastery | Learn | Test | Matching | Spaced | Call with Kai |
|---|
No analytics yet
Send a link to your students to track their progress

?
Nitro Alkene pka = 10. Bases: Et3N, Na2CO3 and NaOR

?
Dicarbonyls (Malonates). Bases: Et3N, Na2CO3 and NaOR


?
Dinitriles(Malo nitrile). pKa= 11. Bases: Et3N, Na2CO3 and NaOR

!!!!
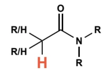
Primary and Secondary Amides. pKa 17. NOT USED FOR ENOLATE CHEMISTRY

?
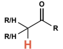
Aldehyde


?
Ketone


?
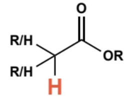
Esters


?
Tertiary Amides
