1/27
Looks like no tags are added yet.
Name | Mastery | Learn | Test | Matching | Spaced | Call with Kai |
|---|
No analytics yet
Send a link to your students to track their progress
Angle of depression

Angle of elevation

When do we use law of sines
Angle - angle -side ( AAS), angle-side-angle ( Asa), side-side-angle ( SSA*ambiguous→ more than one triangle )
When do we use law of cosines
Side - angle-side (SAS) or side-side-side (SSS)
What is heron's formula to find side

What is heron's formula to find area

Component form

Equation for a component of a vector

Equation for finding magnitude/ length of a vector in component form

Unit vector
If magnitude/ length = one
Vector zero
When magnitude equals zero
Finding unit vectors

Standard unit vectors

(Addition formula) sum of u and V

Scalar multiplication of k times u equation

Dot product equation

Dot product property magnitude

Equation for angle between two nonzero vectors

Orthogonal vectors
Two vectors that create a right angle ( 90°) between them
Finding orthogonal vectors
Using dot product formula → dot product equals to zero
Perpendicular
When two lines intersect and create a right angle (90°)
How to solve w/ component form?

Work formula

Distance formula (2D)

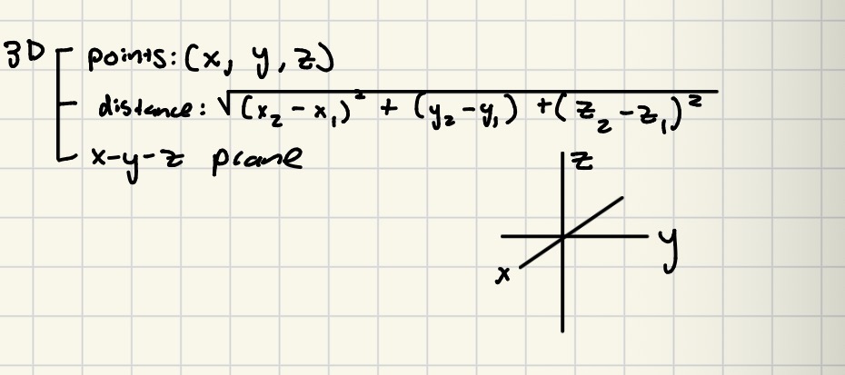
Distance formula (3D)

3D vector components

Standard unit vectors in 3D

Parallel vectors
