1/91
Looks like no tags are added yet.
Name | Mastery | Learn | Test | Matching | Spaced | Call with Kai |
|---|
No analytics yet
Send a link to your students to track their progress

What form is correct for neutral pH?
2

What form is correct for net zero charge?
2

What form is correct for neutral pH?
2

What form is correct for net zero charge?
3

Name the amino acid.
Alanine, Ala

Name the amino acid.
Valine, Val

Name the amino acid.
Leucine, Leu

Name the amino acid.
Isoleucine, Ile

Name the amino acid.
Glycine, Gly

Name the amino acid.
Proline, Pro

Name the amino acid.
Cysteine, Cys

Name the amino acid.
Methionine, Met

Name the amino acid.
Histidine, His

Name the amino acid.
Phenylalanine, Phe

Name the amino acid.
Tyrosine, Tyr

Name the amino acid.
Tryptophan, Try

Name the amino acid.
Asparagine, Asn

Name the amino acid.
Glutamine, Gln

Name the amino acid.
Serine, Ser

Name the amino acid.
Threonine, Thr

Name the amino acid.
Lysine, Lys

Name the amino acid.
Arginine, Arg

Name the amino acid.
Aspartic Acid, Asp

Name the amino acid.
Glutamic Acid, Glu

Fill in the blank.
Transition State 2. Activation Energy 3. Free Energy

Name that graph.
Michaelis-Menten enzyme kinetics

Fill in the blank.
Vmax, 2. Rxn velocity (V), 3. Vmax/2, 4. Km, 5. Substrate concentration [S]

Name that graph.
Lineweaver-Burk double reciprocal plot

Fill in the blanks.
1/V, 2. -1/Km, 3. Km/Vmax, 4. 1/Vmax, 5. 1/[S]

Fill in the blanks.
# of carbons, 2. # of double bonds, 3. double bond position

Saturated or unsaturated?
Unsaturated

Saturated or unsaturated?
Saturated

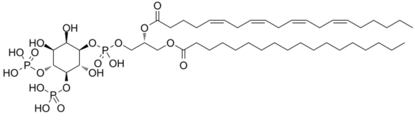
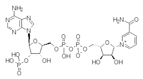
Name that structure.
Triacylglycerol

Name that structure.
Glycerol

Name that structure.
Phosphatidic acid

Name that structure.
Phosphatidyl ester

Name that structure.
Cholesterol

Name that structure.
Steroid

Identify the integral membrane proteins.
1, 2, 4

Identify the peripheral membrane proteins.
3

Purine or pyrimidine?
Purine

Purine or pyrimidine?
Pyrimidine

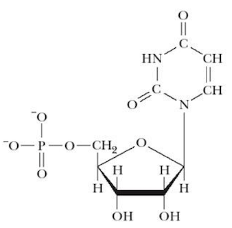
Name that structure.
Cytosine

Name that structure.
Thymine

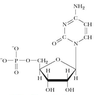
Name that structure.
Uracil

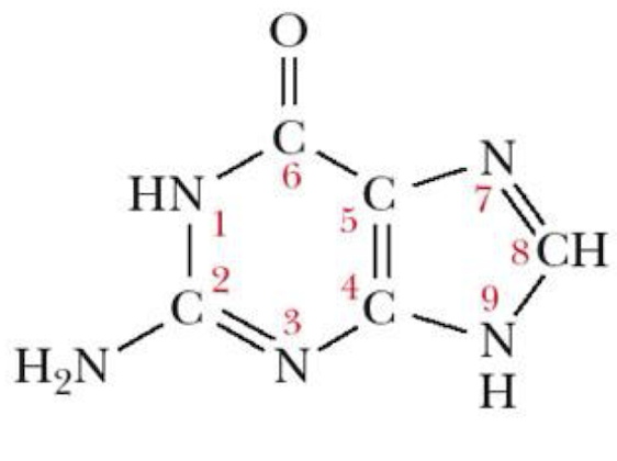
Name that structure.
Adenine

Name that structure.
Guanine

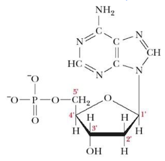
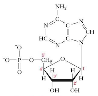
Name that structure.
dAMP

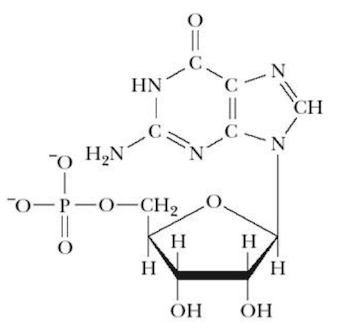
Name that structure.
dGMP

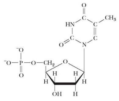
Name that structure.
dTMP

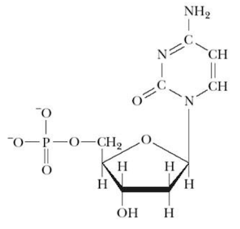
Name that structure.
dCMP

What is the correct sequence of the complimentary strand?
3

Fill in the blanks.
Leading strand, 2. Lagging strand, 3. Okazaki fragments

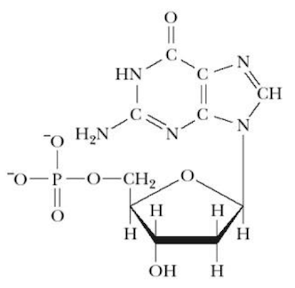
Name that structure.
AMP

Name that structure.
GMP

Name that structure.
UMP

Name that structure.
CMP

Identify the type of glycosidic bond shown here.
α-1,6

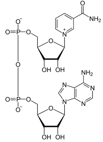
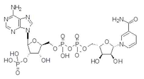
Name that structure.
NAD+

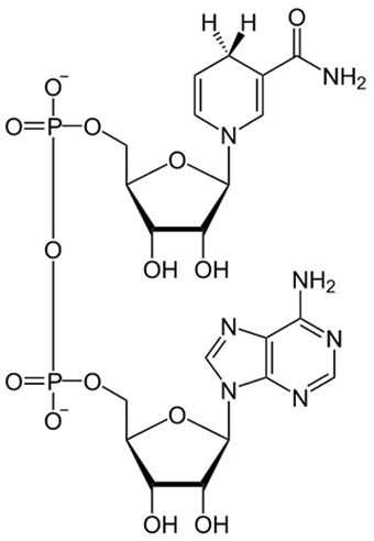
Name that structure.
NADH

Name that structure.
NADP+

Name that structure.
NADPH

Name that structure.
FAD

Name that structure.
FADH2

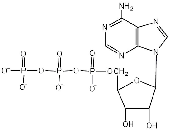
Name that structure.
ATP

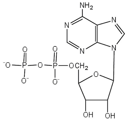
Name that structure.
ADP

Name that structure.
D-Glucose

Name that structure.
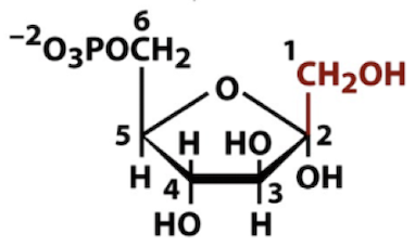
Glucose-6-phosphate

Name that structure.
Fructose-6-phosphate

Name that structure.
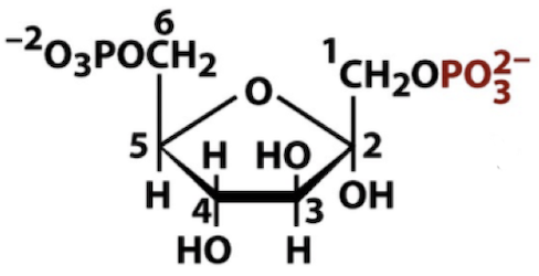
Fructose-1,6-bisphosphate

Name that structure.
Dihydroxyacetone phosphate

Name that structure.
D-Glyceraldehyde-3-phosphate

Name that structure.
1,3-Bisphosphoglycerate

Name that structure.
3-Phosphoglycerate

Name that structure.
2-Phosphoglycerate

Name that structure.
Phosphoenolpyruvate

Name that structure.
Pyruvate

Which option shows the correct order of intermediates in glycolysis Phase 1?
Glucose → Glucose-6-phosphate → Fructose-6-phosphate → Fructose-1,6-bisphosphate → Dihydroxyacetone phosphate → Glyceraldehyde-3-phosphate

Which option shows the correct order of intermediates in glycolysis Phase 2?
Glyceraldehyde-3-phosphate → 1,3-bisphosphoglycerate → 3-phosphoglycerate → 2-phosphoglycerate → Phosphoenolpyruvate → Pyruvate

Which option lists the correct order of glycolysis Phase 1 enzymes?
Hexokinase → Glucosephosphate isomerase → Phosphofructokinase-1 → Aldolase → Triose phosphate isomerase

Which option lists the correct order of glycolysis Phase 2 enzymes?
Glyceraldehyde-3-phosphate dehydrogenase → Phosphoglycerate kinase → Phosphoglycerate mutase → Enolase → Pyruvate kinase

Which option shows the correct order of intermediates in TCA Cycle?
Acetyl-CoA → Citrate → Isocitrate → α-ketoglutarate → Succinyl-CoA → Succinate → Fumarate → Malate → Oxaloacetate

Which option shows the correct order of enzymes in TCA Cycle?
Citrate synthase → Aconitase → Isocitrate dehydrogenase → α-ketoglutarate dehydrogenase → Succinyl-CoA synthase → Succinate dehydrogenase → Fumarase → Malate dehydrogenase

Name that structure.
Acetyl-CoA

Name that structure.
Citrate

Name that structure.
Isocitrate

Name that structure.
α-ketoglutarate

Name that structure.
Succinyl-CoA

Name that structure.
Succinate

Name that structure.
Fumarate

Name that structure.
Malate

Name that structure.
Oxaloacetate