1/202
Name | Mastery | Learn | Test | Matching | Spaced | Call with Kai |
|---|
No analytics yet
Send a link to your students to track their progress
what is the decision rule in microeconomics?
we define b(x) befnefits and c(x) the costs-
if b(x) is not greater than c(x) dismiss it
b(x) is also denoted as the mx amount you would be willing to pay and c(x) the value of resources needed
opportunity cost
the cost of doing one over the other
common pitfalls in decision making
ignoring implicit costs
ignoring sunk costs (costs beyond recovery)
measuring costs and benefits as proportions rather than absolute values
failure to understand the average-marginal cost
what the optimal amount of a continuously variable activity
when MB=MC
when to know when to increase or decrease production?
MC is more than MB (reduce)
MC is less that MB (increase)
positive vs normative economics
positive is definitive answer
normative does not have a definitive answer
Perfectly Inelastic Demand
A situation where the quantity demanded does not respond at all to a change in price.
Complement Goods
Products that are often used together; an increase in the price of one leads to a decrease in demand for the other.
Excess Supply
A condition where the quantity that suppliers are providing is greater than the quantity that purchasers want at the current price.
Marginal Cost
The additional cost of producing one more unit of a good or service.
Substitute Goods
Products that can be used in place of each other; an increase in the price of one leads to an increase in demand for the other.
Normal Good
A product for which demand increases as consumer income rises.
Price Ceiling
A legal maximum on the price at which a good can be sold.
Factor Prices
The cost of inputs like labor and capital, which affect how much suppliers are willing to sell.
Tax Burden
The actual economic cost of a tax, distributed between consumers and producers based on elasticity.
Consumer Surplus
A buyer's willingness to pay for a good minus the amount the buyer actually pays for it.
Perfectly Elastic Demand
A situation where any increase in price will cause the quantity demanded to fall to zero.
Price Floor
A legal minimum on the price at which a good can be sold.
Economic Incidence
The division of the tax burden between buyers and sellers, determined by their relative responsiveness to price changes.
role of prices in the adjustment process and markets in general
rationing
2. allocative
determinants of demand
1 Incomes (Normal goods and Inferior goods – chapter 5)
2 Tastes
3 Prices of substitutes and complements (chapter 5)
4 Expectations
5 Number of buyers
determination of supple
1 Technology
2 Factor prices: labor and capital
3 Number of suppliers
4 Expectations
5 Other (e.g. weather)
define unit tax
These are taxes expressed as a sum of money the government needs to receive per unit of the good/service exchanged
how’s does this effect supply vs demand
A unit tax t levied on suppliers shifts supply upwards by t units;
A unit tax t levied on buyers shifts demand downwards by t units.
formula for demand curve
P=a-bQ
formula for supply
P=c+dQ
formula for equilibrium?
D=S
adding tax
A per unit tax t levied on buyers shifts demand downwards by t units:
D :P =a−bQ →P =(a−t)−bQ
tax effect on supplies
A per unit tax t levied on suppliers shifts supply upwards by t units:
S : P = c + dQ → (c + t) + dQ
buyers and sellers tax burden

effect of subsidies consumer vs supplier
A subsidy s given to consumers shifts demand upwards by s units:
D :P =a−bQ →P =(a+s)−bQ
A subsidy s given to suppliers shifts supply downwards by s units:
S : P = c + dQ → (c − s) + dQ
key assumptions
1Consumers enter the market with well-defined and stable preferences
2 Consumers take prices as given
3 Consumers’ demands are always satisfied
4 Consumers play by the rules of the game
budget constraint
It is the set of bundles such that the consumer
spends all their income
simplest form of the budget constrain
pg1+g2=m
slope of budget contrail

effect of a change in price

consumer income decrease?
Thus, the budget line shifts inwards in a parallel way: the slope of the
budget line does not change.
Pareto efficient
no relalocation can improve some peoples position without harming the position of at least some other
rationing function of price
equilibrium prices curtail these excessive claims by rationing scare supplies to the users who places the highest values to them
composite good
the choice between good x and numerous other goods, the amount of money the consumer spends on those other goods
properties of preference orderings
completness
more is better
transitivity ( if you prefer bundle a over w and z over a then you prefer z over w)
convexity
indifference curves
a set of bundles all of which are equally attractive than the bundles
indifference maps
bundles on a lower indifference curve are less preferred than bundles on a higher indfirence curve
how to get best affordable bundle?
combines the budget constraint and indifference curves
how can we transform the Cobb Douglas utility function

interior vs corner solution
consume a strictly positive amount of all goods
corner solution - for some goods consumption is = 0
equilibrium for interior solutions
MRS = −Px /Py
consumers problem can be solved by
Lagrangian
substitution
how to solve for a corner solution

what are the different goods and their properties?
normal good
luxury goods
necessity good
inferior good
icc vs pcc
income consumption curve
vs possibilities curve
draw the graph for perfectly elastic and inelastic demand

what is some key factors of the substitution effect?
Substitution effect is always negative, that is, the effect of a change
in Px on the demand for x has always the opposite sign of that of the
change in price:
1 If price increases, demand decreases;
2 If price decreases, demand increases
income effect
The income effect can either go in the same direction as the
substitution effect (e.g. normal goods) or go in the opposite direction
(inferior goods).
If the direction of the income effect is oppositve to that of the
substitution effect and dominates the substitution effect (e.g. after a
price rise you observe an increase in demand), the good we are
considering is called a Giffen good.
table of goods vs effects

what is the inter-temporal choice model?
The trade-off we focus on here is between consuming today (current
consumption, C1) and consuming tomorrow (future consumption, C2)
financial capital vs real capital?
real capital Is a piece of productive equipment
financial capital is money
how to transform tomorrows euros into todays euros? and the other way around

real versus nominal interest rates
I = n-q/1+q
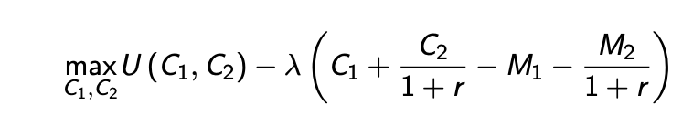
what is problem consumer faces -

what is the optimal condition?

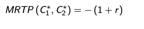
impatient vs patient consumer
the consumer is Patient if at (M1, M2):
- MRTP < 1 + r
the consumer is Impatient if at (M1, M2):
- MRTP > 1 + r
ESE-EUR FEB11001X 16 / 29
impatient vs patience curve

how to measure patience

how different things affect the player in and economy (table

random variable
that can any number of values for which there is an exact uncertainty
lotteries or gamble
discrete vs continues variable
discrete if it can only take on all a finite number
continues if it can take on all the real values that are contained
what is a probability distribution?
tells you how the chances that each possible value a random variable can take on are distributed
for a continues random variable

the pdf of standard normal distribution

what do you do for discrete random variables?
look at the frequency with which the random variable could take on eac value that is in it support
what is the pdf of the standard normal

average mean or expected value?
number that can be expected to be realized, on average before we observe the number that is actually realized.
uniform probability distribution
It is such that any value in the possible range of realizations [a, b] with
both a and b finite numbers has the same probability of happening
how to model preference under uncertainty
we need to define the utility function in a world with uncertainty
NO more decreasing marginal return
DO NOT assume the utility function is concave
von Neumann margenstern Utility function
assign a value a utility to each possible realisation of the random variable
This utility satisfies most of the properties of utility functions
described previously, such as completeness, more-is-better, or
transitivity
Yet, decreasing marginal return is only one possible case and is linked to the consumer’s attitude towards risk.
Expected utility of a gamble E (U): expected value of utility over all
possible outcomes of the gamble.
risk aversion (represent graphically
if an agent is ask averse they do not like risks
they will refuse a fair gamble

risk neutrality (represent graphically)
they have utility function that is stricly increasing
U’’ = 0

risk lover and risk seeking agents
These agents have a utility function that is again strictly increasing but
this time convex, that is such that U′′ > 0.
These agents prefer extremes to averages

certainty equivalent
paying insurers and advisors
when agents ae risk averse they would especially like to reduce the negative effects of risk
paying for information
alignment of preferences
Information plays an especially important role when the different parties
have preferences that are misaligned, that is, when their objectives do not
coincide.
- Examples of partners with different preferences:
- a buyer and a seller (Akerlof’s market for lemons);
- a manager and his workers;
- two people going out for the first time (only the first time?).
Examples of parties with same preferences:
- athletes in the same team during a competition;
- bridge partners (the card game);
parents with respect to their children (always?).
signaling
communication that conveys information
interpreted as actions
costly to fake
full disclosure
risk pooling
how different sources of risk reduce overall risk
risk sharing
how to share difference risks among different agents
group discrimination
the idea people belong to different groups and have different charateritcs
production
any activity that creates present or future utility
production function
how inputs ( capital and labour) are transformed into output (delivers utility)

long run vs short run
long run- there are only variable inputs
short run- there is at least one input which is fixed
assumption in terms of production
marginal returns are increasing or constant
at some point marginal returns kick in
marginal average distinction
important af
what is isoquant
set of combinations of inputs that all produce the same output
tells us how we can modify combinations of the 2 inputs while keeping production constant
characteristics of production
indifference curves
returns to scale
reaction of output to a proportional increase in all inputs
différent types of returns
IRS: Output increases more than the proportional increase in inputs
CRS: increase in output and in inputs is identical
DRS: increase in output is lower than increase in inputs
represented as a equation
IRS if and only if: F (cK , cL) > cF (K , L)
CRS if and only if: F (cK , cL) = cF (K , L)
DRS if and only if: F (cK , cL) < cF (K , L)
what are the two types of production costs
fixed and variable
what Is considered a fixed cost and how is it represented?
capital of a firm

equation for variable costs

equation for total costs

what do you need to solve these?
