1/59
Looks like no tags are added yet.
Name | Mastery | Learn | Test | Matching | Spaced | Call with Kai |
|---|
No analytics yet
Send a link to your students to track their progress
Helicopter definition
a vehicle with one rotor that has the following three functions:
lift
propulsion
control
main rotor functions?
lift (up, down)
propulsion (onwards, backwards)
control
main helicopter producing countries?
USA
Russia
Italy
France
Brazil
India
China
helicopters as we know them now appeared ___, even though…
post WW2
the concept of rotorcraft took root before fixed wing aircraft
fixed wing milestones (and year)
1000BC: chinese kites
1400: Da Vinci’s flying machine
1843: George Cayley’s biplane
1895: Otto Lilienthal’s gliders
1900: Invention of internal combustion
1903: first flight (Wright brothers)
rotary wing milestones (and year)
400BC: chinese toys
1400: Da Vinci’s aerial screw
1900: Invention of internal combustion
1920s: autogiros
1945: first production helicopters
1950s: turboshaft engines
which sections are in developmental hurdles?
powerplant, aero and structures
stability
control
ulterior problems
recovery
why did early designs of helicopters fail?
inefficient aero (FM 0.5)
underestimated power
heavy engine
early designs mainly consisted of ___ rotors
co-axial
wires and structural bracings…
add to drag
structural weight reduction possible with…
AI
what was the key for enabling the technology for vertical flight?
turboshaft engines
the main rotor produces a torque → rotorcraft need…
when did people realize this?
counter torque
until first prototypes
when was the first tail rotor developed? and by who?
1924-1930
AG Von Baumhaeur
rotors produce symmetric or asymmetric lift in forward flight?
asymmetric

to translate control inputs to the main rotor, …
you need a mechanism
when was the first successful implementation of the swash-plate? and by who?
1922
Juan de la Cierva
alternative to swash plate? when developed?
Karman servo flaps
late 1940s
which is the problem with rotor desings for flight?
they expose the system to risk of resonance
when does control saturation happen?
in sustained high g turns
when do rotors lose control authority?
in certain altitudes
Is it possible to recover a helicopter in case of engine failure? How?
Yes. By performing autorotation, where the airflow keeps the rotor spinning and allows a controlled descent.
If the pilot reacts quickly and has enough altitude, a safe landing is possible
How are real helicopter rotor flows?
highly complex
extremely complicated to model
is there a jump in flow velocity across the disk? and in pressure?
no, there’s a smoothly accelerated flow
there’s a jump in pressure
what happens to the stream tube with increasing velocity?
it contracts

how is velocity variation along the blade? (Hover)
radially linear
azimuthally symmetric
is the lift loading the same at each section? (Hover)
no, it’s different
where is the highest velocity (and hence dynamic pressure) (Hover)?
at rotor tips → strong tip vortices
highest velocity implies highest… (Hover)
dynamic pressure
describe the rotor flow in hovering flight
velocity variation along the blade is radially linear and azimuthally symmetric
lift loading different at each section
highest velocity (and hence dynamic pressure) at rotor tips → strong tip vortices

describe the rotor flow in forward flight
highly asymmetric
region of flow reversal
high Mach number
large range of Mach numbers
log Re regions
large range of Re

when and by who was the Froude-Rankine momentum theory? for what? (two theories)
developed by Rankine in 1865
for marine propeller applications
considered the rotor as an actuator disk
expanded later by Froude
to capture variations across rotor stations
how? by discretizing the rotor as annular rings
how is the rotor idealized in the Froude-Rankine momentum theory?
as an infinitesimally thin actuator disk that produces a pressure difference
advantages of Froude-Rankine momentum theory?
no need to analyze variations across sections
power estimate
rotor performance limits
disadvantages of Froude-Rankine momentum theory
no indications on rotor design and optimization
assumptions of Froude-Rankine momentum theory
incompressible flow → neglect compressive effects in rotor tips
steady, inviscid, irrotational flow
flow is 1D, and uniform through the rotor disk and in the far wake
ambient pressure in the far stream
well defined slip stream
what we’re ignoring in the Froude-Rankine momentum theory
no swirl in the wake
no tip vortices
what is the streamtube?
the control volume we can define when using the assumptions of the Froude-Rankine momentum theory

when not climbing nor descending, …
v0=vc=0
what does a control volume mean?
the volume is fixed and particles are moving in and out of it
how do I apply conservation laws onto a control volume?
Reynolds transport theorem → for steady flows: formula

mass conservation original formula (momentum theory)
formula

mass conservation formula when applying it to the stream tube (momentum theory)
formula

momentum conservation original formula (momentum theory)
formula

momentum conservation: Glauert (momentum theory)
year
statement
formula
1935
the net pressure force on the fluid inside the control/material volume is zero for an unconstrained flow

momentum conservation formula when applying it to the stream tube (momentum theory)
formula

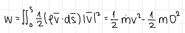
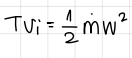
energy conservation original formula (momentum theory)
formula

energy conservation formula considering adiabatic process (momentum theory)
formula

energy conservation formula when applying it to the stream tube (momentum theory)
formula

mathematical model of momentum theory: formulas and development
formulas

development of pressure variation in momentum theory
development

which are the two dimensional ratios of interest to evaluate rotor performance?
disc loading
power loading
disc loading (DL): formula, meaning, units
DL=T/A
thrust produced per rotor area
N/m³
power loading (PL): formula, meaning, units
PL=T/P
thrust produced per unit power consumed
N/W
for an efficient rotor, we want a ___ PL (___ thrust vs. ___ power)
high, high, low
development of v_h (rotor efficiency)
development

what is v_h?
the induced velocity at the rotor disk in hover
do we aim to maximize or minimize the induced velocity?
minimize, because induced power is proportional to it.
vi lower → same thrust with less power → efficiency higher
helicopters consume the ___ power (at equivalent gross weight) to hover compared to any other type of craft
least

what did the advent of turboshaft engines (and leaps in aero knowledge) do?
finally increased the power loading enough for mass production of helicopters