1/41
Looks like no tags are added yet.
Name | Mastery | Learn | Test | Matching | Spaced | Call with Kai |
|---|
No analytics yet
Send a link to your students to track their progress
tensile stress

axial deformation in tensile stress

compressive stress

axial deformation in compressive stress

bearing stress

bending or flexural stress

area, moment of inertia and c (distance from the neutral axis to the extreme fibre) in rectangle

area, moment of inertia and c (distance from the neutral axis to the extreme fibre) in square

area, moment of inertia and c (distance from the neutral axis to the extreme fibre) in triangle

area, moment of inertia and c (distance from the neutral axis to the extreme fibre) in circle

area, moment of inertia and c (distance from the neutral axis to the extreme fibre) in hollow circle

area, moment of inertia and c (distance from the neutral axis to the extreme fibre) in elliptical

transverse deflection for simply supported beam

transverse deflection for cantilevers

linear strain

lateral strain

poisson's ratio

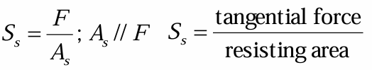
direct shear stress

single shearing of a riveted joint

double shearing of a riveted joint

shear deformation

relationship between G and E

punching shear stress

torsional stress

polar moment of inertia

angle of twist

thermal deformation

thermal stress

factor of safety

induced stress

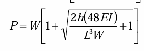
general equation for impact load

impact load for tension or compression

impact load for simply supported beam

impact load for cantilever

KE to impact energy for case A

KE to impact energy for case B

KE to impact energy for case C

Impact Stress

Strain

Force, pressure, area
F=p*A
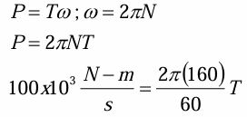
Given Power, find Torque

Stress, Load, Area
S=F/A