1/43
In Progress
Name | Mastery | Learn | Test | Matching | Spaced | Call with Kai |
|---|
No analytics yet
Send a link to your students to track their progress


Methyl is abbreviated as?
Me
Ethyl is abbreviated as?
Et
Propyl is abbreviated as?
Pr
Butyl is abbreviated as?
Bu

What’s this called?
Iso-propyl

What’s this called?
Sec-butyl

What’s this called?
Iso-butyl

What’s this called?
Tert-butyl

What’s this called?
Neo-pentyl

What is the IUPAC name for this?
1,3-dimethylbutyl

What is the IUPAC name of this?
5-(2-Ethylbutyl)-3,3-dimethyldecane

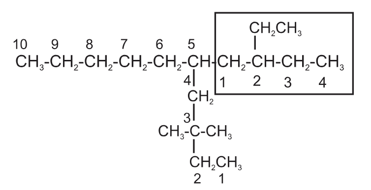
What is the IUPAC name for this?
5-sec-Butyl-4-isopropyldecane

What is the IUPAC name for this?
5-(2,2-Dimethylpropyl)nonane

What is the IUPAC name for this?
1-Methyl-3-Propylcyclohexane

What is the IUPAC name for this?
3-Ethyl-1,1-dimethylcyclohexane
-R-O-R-
What is this functional group called?
“alkoxy”
always a prefix

What is the prefix and suffix for this functional group?
prefix: nitro
no suffix

What is the IUPAC name for this?
3-bromoprop-1-ene

What is the IUPAC name for this?
ethane-1,2-diol

What is the IUPAC name for this?
buta-1,3-diene

What is the prefix and suffix for this functional group?
prefix: carboxy
suffix: -oic acid

What is the prefix and suffix for this functional group?
no prefix
suffix: -oate

What is the prefix and suffix for this functional group?
prefix: alkoxycarbonyl
suffix: -oate

What is the prefix and suffix for this functional group?
prefix: halocarbonyl
suffix: -oyl halide

What is the prefix and suffix for this functional group?
prefix: amino
suffix: -amine

What is the prefix and suffix for this functional group?
prefix: sulpho
suffix: sulphonic acid

What is the prefix and suffix for this functional group?
prefix: cyano
suffix: nitrile

What is the prefix and suffix for this functional group?
prefix: halo
no suffix
What is toluene?
methylbenzene

What is anisole?
methoxybenzene

What is aniline?
aminobenzene

What is nitrobenzene?

What is bromobenzene?


What is the IUPAC name of this compound?
1-chloro-2,4-dinitrobenzene

What is the IUPAC name of this compound?
2-chloro-1-methyl-4-nitrobenzene

What is the IUPAC name of this compound?
2-chloro-4-methylanisole

What is the IUPAC name of this compound?
4-ethyl-2-methylaniline

What is the IUPAC name of this compound?
3,4-dimethylphenol
Arrange the following in descending order of priority:
COCl, COOH, –SO3H, -CONH2, -COOR (R=alkyl group),
COOH > –SO3H > -COOR (R=alkyl group) > COCl > -CONH2 > -CN > -HC=O > --C=O > -OH > -NH2 > --C=C-- > -C≡C-
Arrange the following in descending order of priority:
-OH, CONH2, -NH2, -HC=O, -CN, --C=O,
COOH > –SO3H > -COOR (R=alkyl group) > COCl > -CONH2 > -CN > -HC=O > --C=O > -OH > -NH2 > --C=C-- > -C≡C-
Arrange the following in descending order of priority:
--C=C--, -HC=O, -OH, --C=O, -NH2, -C≡C-,
COOH > –SO3H > -COOR (R=alkyl group) > COCl > -CONH2 > -CN > -HC=O > --C=O > -OH > -NH2 > --C=C-- > -C≡C-

What are the prefixes and suffixes for these functional groups?
prefix: carbamoyl
suffix: -amide
When a benzene ring is attached to an alkane with a functional group, it is considered as substituent, instead of a parent.
True or false?
True.