1/23
Looks like no tags are added yet.
Name | Mastery | Learn | Test | Matching | Spaced | Call with Kai |
|---|
No analytics yet
Send a link to your students to track their progress
Graph and identify domain, range, axis of symmetry, vertex, and zeros
f(x)= 1/2x²+3x+7

Solve by factoring.
10x²=6x

16x²=81

2x²+6x-80=0

Solve by square roots. Simplify all irrational and complex solutions
(x-4)²=9

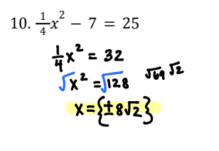
1/4x²-7=25

3/2(x-2)²=72

Simplify each expression
2√-14 x √8

(i³√5²)x2i

15/6i

(1-5i)/2i

3-3i/7-i

3x²=3-42x

2x²-20x+89=-87

x²+12x-8=0
Solve by quadratic formula

7x²-10x+9=5-2x

Calculate the discriminant and identify the number and types of roots
-x²-10x+9=5-2x
(b²-4(a)(c))

4x²-20x+25=0

-3x²-11x+2=0

1/2x²-8=0

A toy rocket is launched from a platform that is 48 ft high. The rockets height above the ground is modeled by h = -16t²+32t+48. What is the maximum height of the rocket? How long will it take the rocket to hit the ground?
(T= -b/2a)

Solve by graphing
2x + y = 5
y = 2x² - 4x - 7

Solve algebraically
y= -x²-4x+3
2x-y= -8

y= 3x²-18x+17
y= -x²+2x+1
