1/21
Looks like no tags are added yet.
Name | Mastery | Learn | Test | Matching | Spaced | Call with Kai |
|---|
No analytics yet
Send a link to your students to track their progress
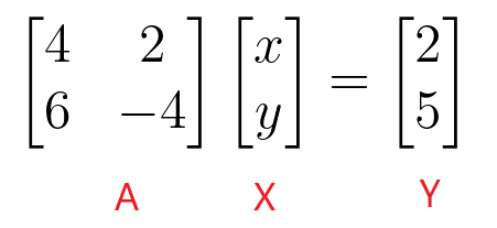
Co-Efficient Matrix
Ax=b

Augmented Matrix
(U | Y)

Linear Combination
Span of two non parallel vectors will make a plane
Span of two parallel vectors is line through the origin
Plane Definition for n dimensions
X=a+bu+cv
Hyperplanes in n dimensions
X=a+bu1+cu2+…+nun-1
Leading Row
A row which isn’t all zeroes
Leading entry/element
Left most non zero term
Leading Column
Column containing the leading entry. There can be multiple leading columns.
No solution
When the right hand column, is the leading column, ie
(0 0 0 | 2)
Unique solution
When every variable (x1, x2, … xn) is a leading variable
Infinite solution
When there are more variables than leading rows
Row Echelon Form (REF)
All zero rows must be at the bottom
All leading entries must be to the right of the above
Reduced Row Echelon Form (RREF)
All leading entries/elements must be 1
All above leading entries must be 0
Leontief Analysis
Output of each industry is distributed among various sectors, sectors are dependent on each other
Transpose
Swap rows and columns
Symmetric Matrix
Transpose is equal to original
Tranpose Determinant
Transpose of determinant is equal to determinant
Determinant Zero
Has zero row/column
Any column/row is a multiple of another
Scaler Multiplication Property of Determinants
If k rows or columns are multiplied by a scaler, then det(A) will be multiplied by ak
Determinant Unchanged
Adding a multiple of one row to another
Multiplicative Property of Determinants
If both A and B square matrices, then:
det(AB)=det(A)det(B)
Note this result is commutative
Determinant of a Triangular Matrix
If U is a matrix in row echelon form, then det(U) can be found by multiplying all the values along the diagonal