1/19
Looks like no tags are added yet.
Name | Mastery | Learn | Test | Matching | Spaced | Call with Kai |
|---|
No analytics yet
Send a link to your students to track their progress
cos (x) Inverse Derivative

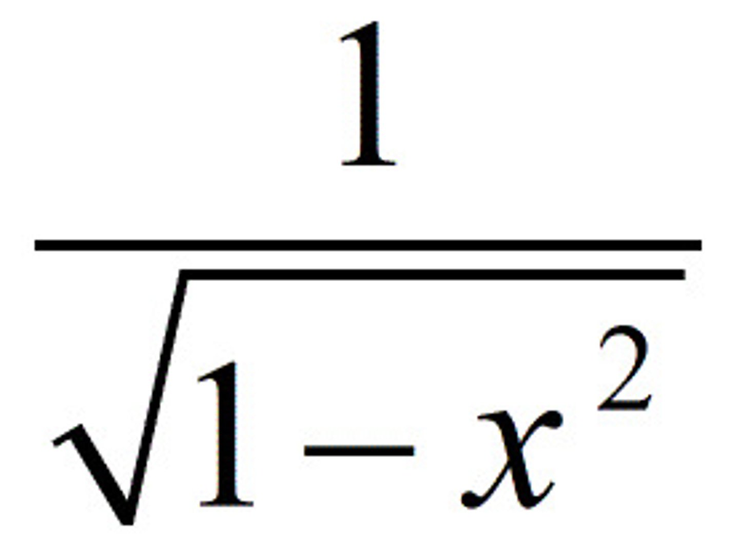
sin (x) Inverse Derivative

tan (x) Inverse Derivative

cot (x) Inverse Derivative

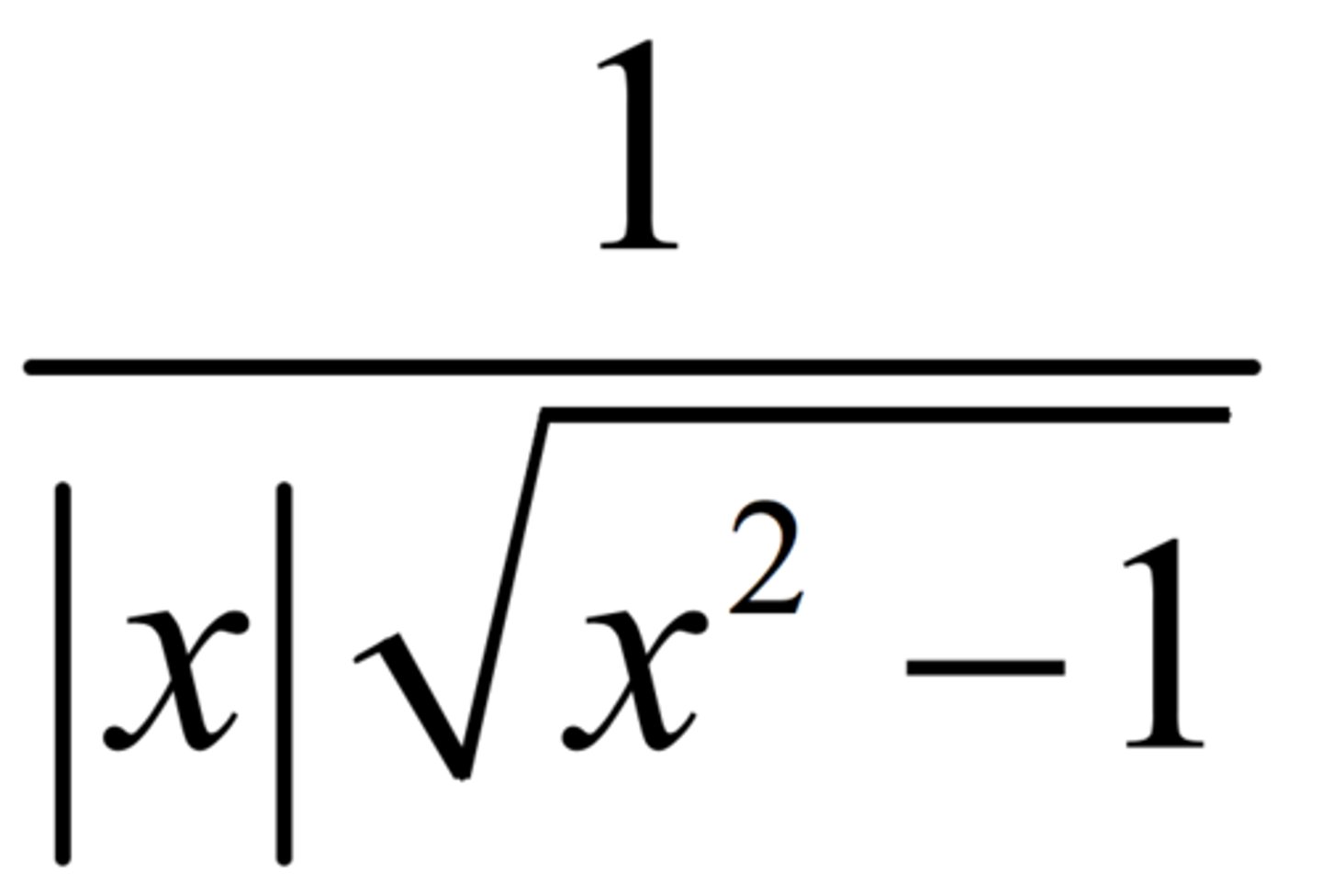
sec (x) Inverse Derivative

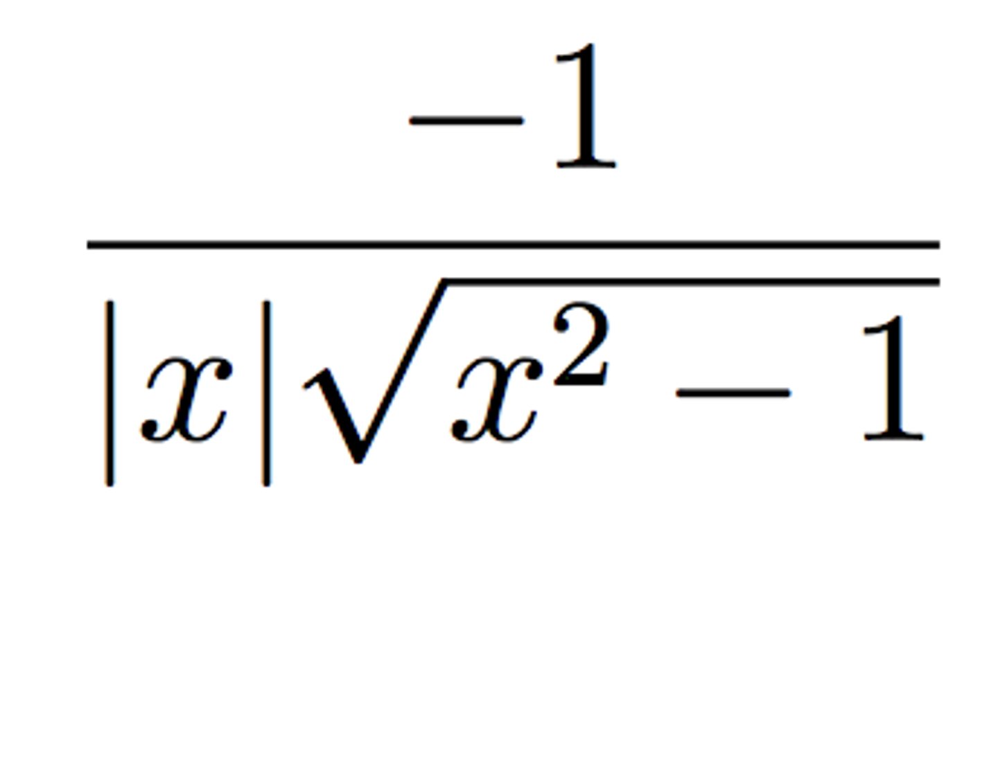
csc (x) Inverse Derivative

cos (x) derivative
-sin (x)
sin (x) derivative
cos (x)
tan (x) derivative

cot (x) derivative

sec (x) derivative
sec (x) tan (x)
csc (x) derivative
-csc (x) cot (x)
Derivative of ln (x)

Derivative of e^x
e^x
Derivative of log (x)

Derivative of b^x

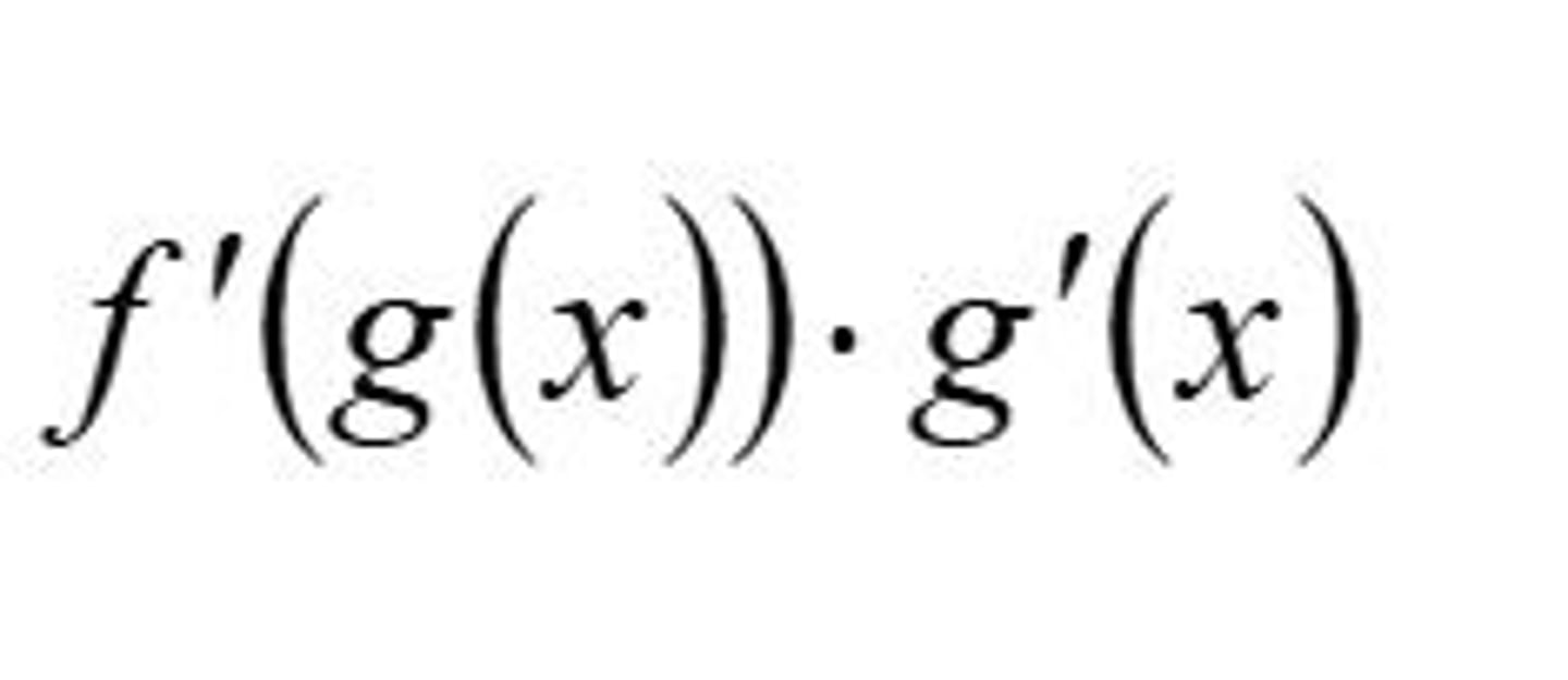
Derivative of f(g(x))

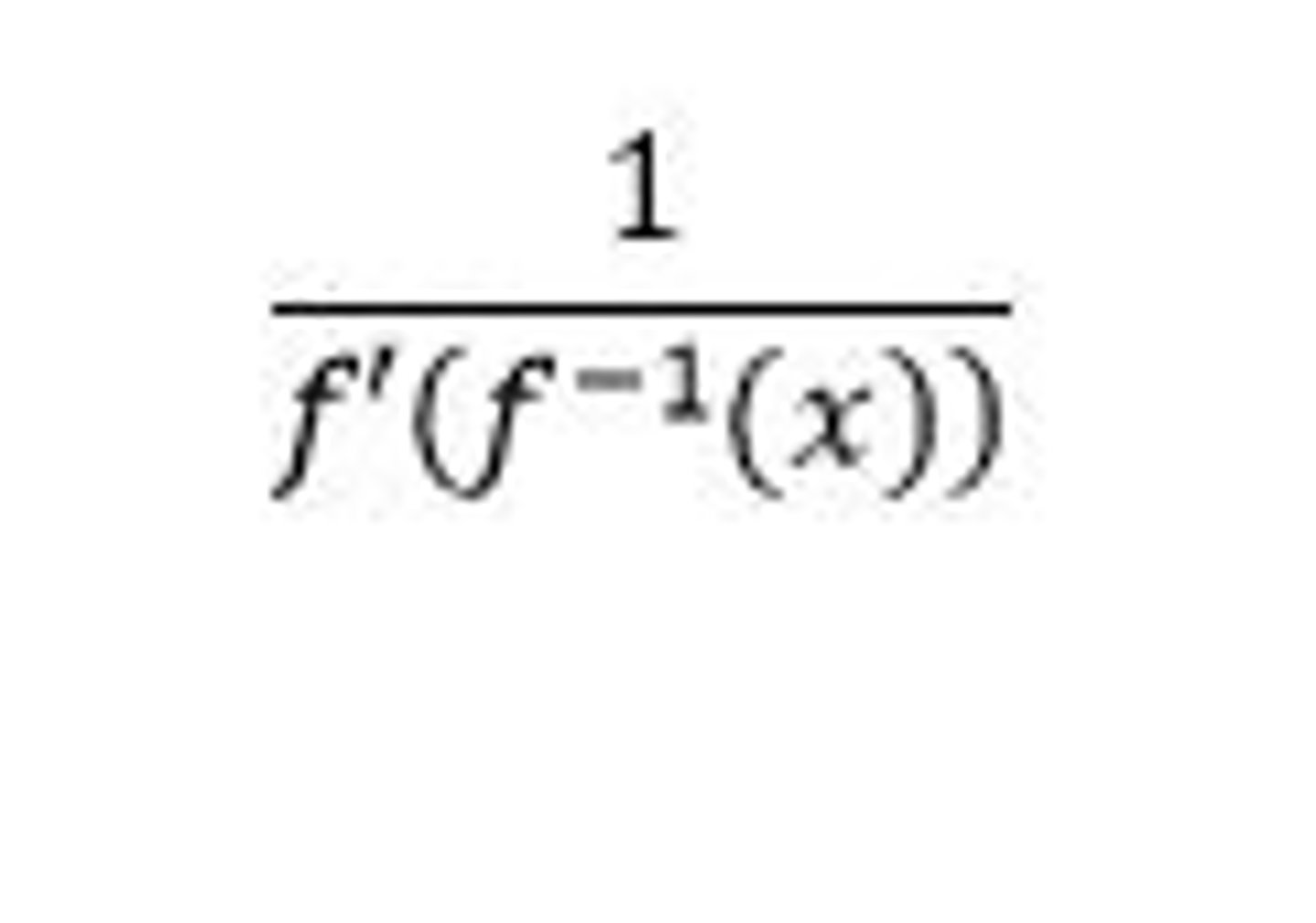
Derivative of inverse f (x)

If inverse f(1) = -2 then
f(-2) = 1
If inverse f(3) = 7 then
f(7) = 3