1/41
Complex Analysis by Dennis G Zill and Patrick D. Shanahan (I have the 2nd Edition)
Name | Mastery | Learn | Test | Matching | Spaced | Call with Kai |
|---|
No analytics yet
Send a link to your students to track their progress
Complex numbers are in what form
z=a+bi where a and b are real numbers (January 26, 1.1) (Exam 1 Material)
What does Re(z) mean
Refers to the real part of z. The a value (January 26, 1.1) (Exam 1 Material)
What does Im(z) mean
Refers to the imaginary part of z. The b value (January 26, 1.1) (Exam 1 Material)
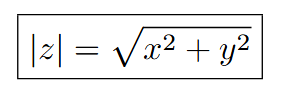
What is the modulus of z=x+yi
(January 28, 1.2) (Exam 1 Material)

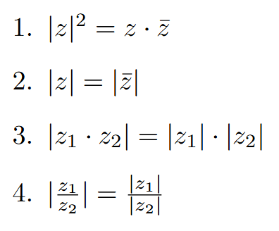
List all 4 properties of the modulus.
(January 28, 1.2) (Exam 1 Material)

Suppose z1 does NOT equal z2. What is the triangle inequality?
(January 28, 1.2) (Exam 1 Material)

What is |z1| - |z2| less than or equal to?
(January 28, 1.2) (Exam 1 Material)

What is ||z1|-|z2|| less than or equal to?
(January 28, 1.2) (Exam 1 Material)

In the complex plane, if x=Re(z) and y=Im(z), what is z?
(January 30, 1.3) (Exam 1 Material)

What is the principal argument?
(January 30, 1.3) (Exam 1 Material)

What is De Moivreâs Formula? For what values does it work
Works for integer values of n. (January 30, 1.3) (Exam 1 Material)

What formula do you use to find the roots of a complex number
(February 2, 1.4) (Exam 1 Material)

If every point of a set S is interior, then the set S is considered what
An open set. (February 4, 1.5) (Exam 1 Material)
If S contains all the boundary points, then the set S is considered what
A closed set (February 4, 1.5) (Exam 1 Material)
If any two points, z1 and z2 of S can be connected by a polygonal line consisting of finietly many line segments joined end to end that lie within S, then S is what
A connected set (February 4, 1.5) (Exam 1 Material)
What must be true for S too be considered a Domain set
A set S must be Open AND Connected (February 4, 1.5) (Exam 1 Material)
If there is a real number R>0 s.t. |z| is less than or equal to R, for all zâs in S, then the set is considered what
A bounded set (February 4, 1.5) (Exam 1 Material)
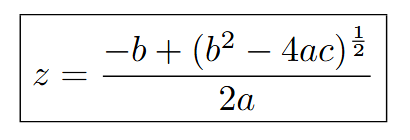
For az2+bz+c=0 where a,b and c are real numbers and z is a complex number, what is z?
(February 6, 1.6) (Exam 1 Material)

What is the image of f in a formula
(February 13, 2.3) (Exam 1 Material)

The image of C, under f(z) = w = z2 is Câ. For functions of real part, u and imaginary part, v, this is what
(February 20, 2.4) (Exam 2 Material)


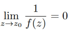
If you know the image is true, what can you say about the reciprocal of that limit. How is this useful?
If you have a limit that goes toward infinity, flip the argument. This is helpful when your limit approaches infinity an you have to rewrite it. (February 25, 3.1) (Exam 2 Material)

If you have a limit as z goes to z0 of f(z) that equals L, what does the limit as z goes to 0 of f(1/z) equal?
The limit should also equal L. (February 25. 3.1) (Exam 2 Material)
If a complex function f(z) is continuous at z=z0 what must be true.
The limit of f(z) as z approaches z0 must exist, f(z0) must exist, and those 2 must equal eachother (February 25, 3.1) (Exam 2 Material)
What is the limit definition of a complex function, f(z), involving âz
(March 2, 3.2) (Exam 2 Material)

What is the limit definition of a complex function, f(z), not involving âz
(March 2, 3.2) (Exam 2 Material)

Do normal differentiation rules apply to complex functions
Yes, complex functions are differentiated the same as real valued functions (March 2, 3.2) (Exam 2 Material)
If a function is analytic, what does that say about itâs continuity and differentiability
An analytic function must be differentiable and continuous. However, a continuous function does not necessarily mean itâs differentiable or analytic. (March 4, 3.2) (Exam 2 Material)
What is a singular point
A singular point is when a complex functions fails to be analytic (March 4, 3.2) (Exam 2 Material)
If you take the limit as z approaches z0 of f(z)/g(z) and both the numerator and denominator go to 0 or infinity, you can do what
Apply L'HĂ´pital's Rule. Sometimes you have to use L'HĂ´pital's Rule more than once. You apply L'HĂ´pital's Rule the same as real valued functions (March 4, 3.2) (Exam 2 Material)
If f(z) = u(x,y) + iv(x,y), what are the Cauchy-Riemann equations
(March 4, 3.3) (Exam 2 Material)

If the Cauchy-Riemann equations are NOT satisfied, then what can we conclude about f(z)
f(z) is not analytic (March 6, 3.3) (Exam 2 Material)
If f(z) = u(x,y) + iv(x,y), how do you verify if u is harmonic.
Check if the Laplacian equals 0 (March 9, 3.4) (Exam 2 Material)

If f(z) = u(x,y) + iv(x,y), and u is harmonic, how would you find v(x,y)
Refer to the Cauchy-Riemann equations (both of them), and integrate to solve for v(x,y). Make sure to use your initial condition to solve for C. (March 9, 3.4) (Exam 2 Material)
What is the fundamental region of ez
(March 11, 4.1) (Exam 2 Material)

What is Lnz equal to?
(March 23, 4.1) (Exam 3 Material)

How can cosine be expressed in terms of complex exponential functions
(March 27, 4.3) (Exam 3 Material)

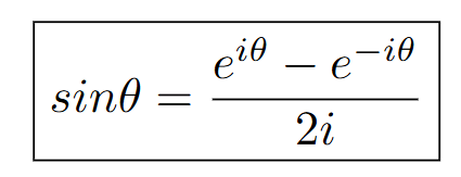
How can sine be expressed in terms of complex exponential functions
(March 27, 4.3) (Exam 3 Material)

Do tangent and the other reciprocal trig functions hold for complex variables
Yes they do (March 27, 4.3) (Exam 3 Material)
There are several trig identities that hold to complex variables. Name a few
(March 27, 4.3) (Exam 3 Material)

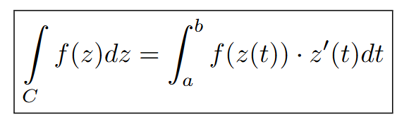
If f(z) is a smooth curve C given by z(t) = x + yi for t being in [a,b] then what does that say about the integral of f(z)
(March 30, 5.2) (Exam 3 Material)

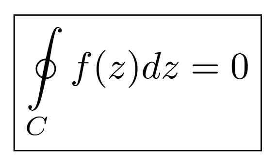
If f(z) is analytic on a simply connected domain D, then for every closed contour C in D, what does the Cauchy-Goursat Theorem say (CG)
(April 1, 5.3) (Exam 3 Material)

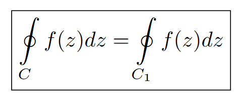
If C and C1 have the same hole inside and are both traced in the positive direction, then what can be said about the principal of deformation of contours
(April 1, 5.3) (Exam 3 Material)
