1/19
Looks like no tags are added yet.
Name | Mastery | Learn | Test | Matching | Spaced | Call with Kai |
|---|
No analytics yet
Send a link to your students to track their progress
Glycine (Gly/G/ Nonpolar)*

Alanine (Ala/A/Nonpolar)

Valine (Val/V/nonpolar)

Leucine (Leu/L/Nonpolar)

Isoleucine (Ile/I/nonpolar)

Methionine (Met/M/nonpolar)

Tryptophan (Trp/W/nonpolar)

Phenylalanine (Phe/P/Nonpolar)

Proline (Pro/P/Nonpolar)*

Serine (Ser/S/Polar)

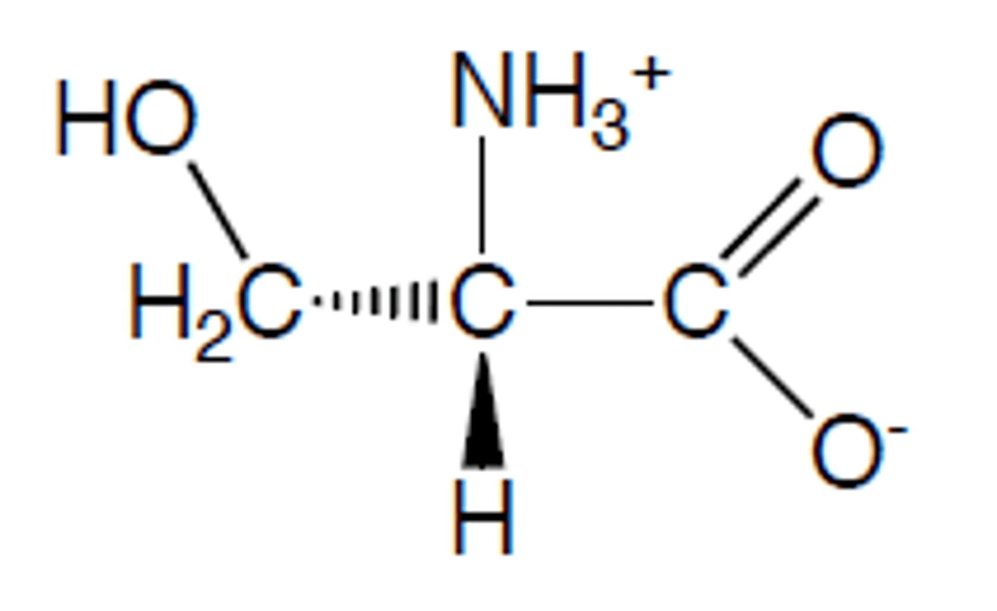
Threonine (Thr/T/Polar)

Cysteine (Cys/C/Polar)*

Tyrosine (Tyr/Y/Polar)

Asparagine (Asn/N/Polar)

Glutamine (Gln/Q/Polar)

Aspartic Acid (Asp/D/negative)

Glutamic Acid (Glu/E/Negative)

Lysine (Lys/K/Positive)

Arginine (Arg/R/Positive)

Histidine (His/H/Positive)
