1/8
Looks like no tags are added yet.
Name | Mastery | Learn | Test | Matching | Spaced | Call with Kai |
|---|
No analytics yet
Send a link to your students to track their progress
c. long chain fatty acid ester
What is the defining structural feature of IM injectable antipsychotics?
a. alkyl group
b. tertiary amine
c. long chain fatty acid ester
d. long chain fatty acid ether
required for activity and max potency
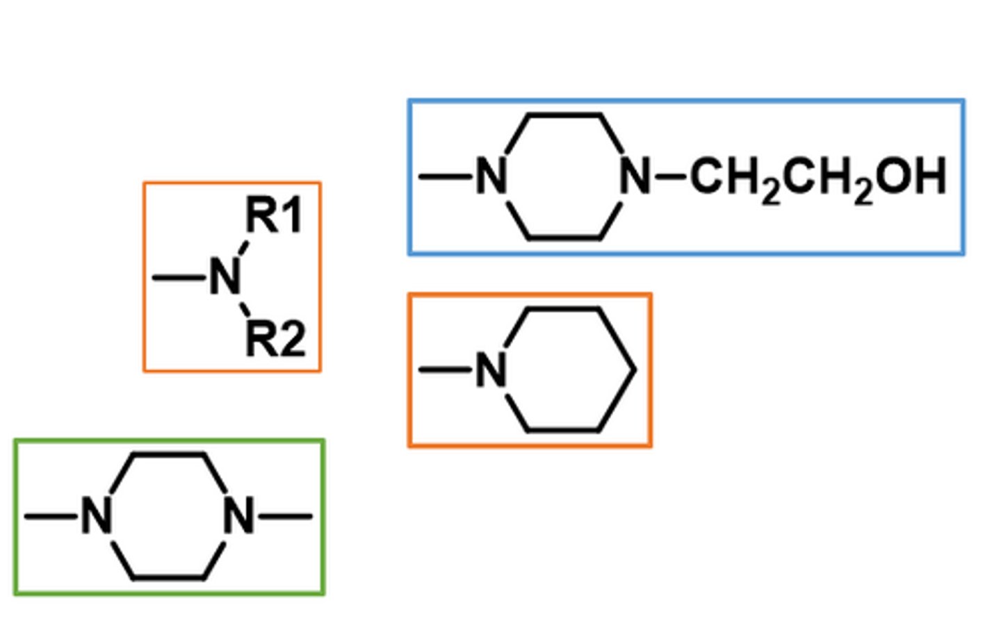
Describe the effect of then terminal amine effect on the SAR of phenothiazines.

c. alkyl amine
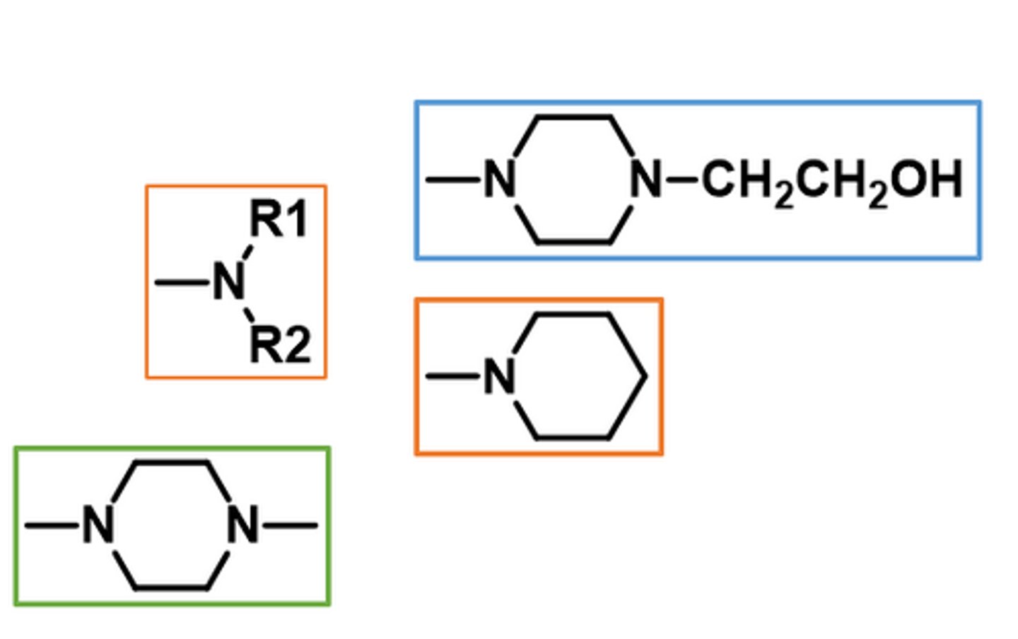
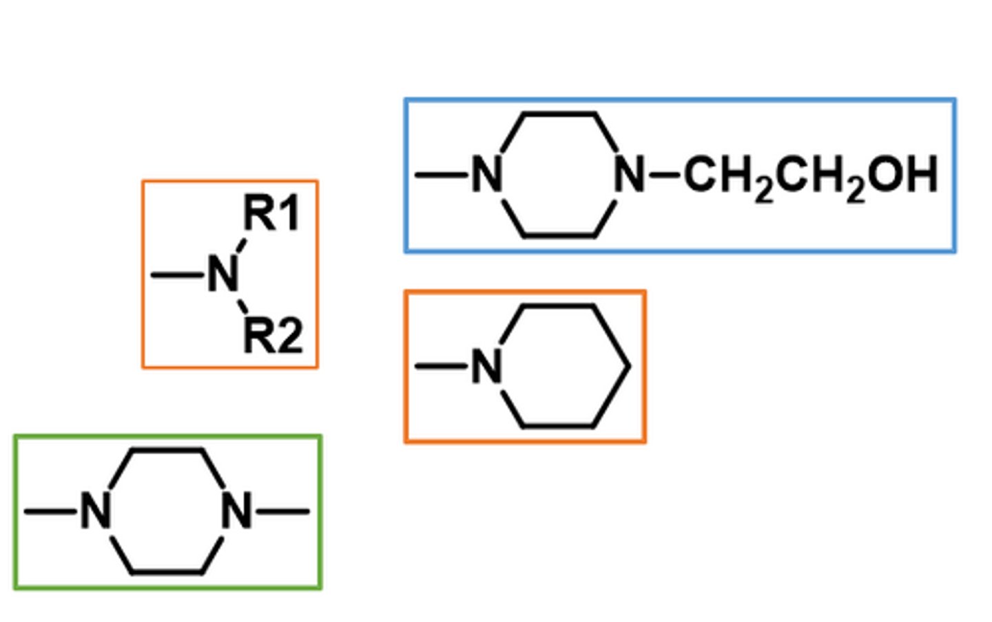
What tertiary amine are important for phenothiazine activity. Which ones are circled in orange?
a. piperazine ring
b. piperidine ring
c. alkyl amine

a. piperazine ring
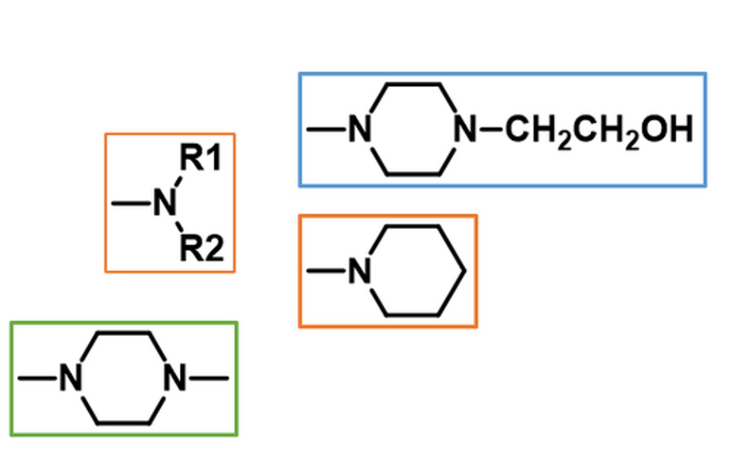
What tertiary amine are important for phenothiazine activity. Which ones are circled in blue?
a. piperazine ring
b. piperidine ring
c. alkyl amine

b. piperidine ring
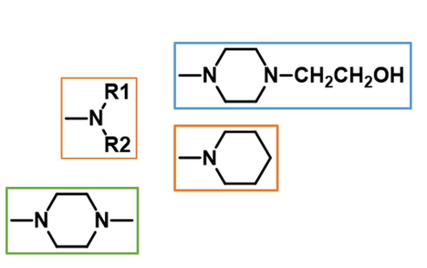
What tertiary amine are important for phenothiazine activity. Which ones are circled in green?
a. piperazine ring
b. piperidine ring
c. alkyl amine

b. piperazine > piperidine > aliphatic amines
Rank the tertiary amine groups of phenothiazines from most potent to least potent.
a. piperidine > piperazine > aliphatic amines
b. piperazine > piperidine > aliphatic amines
c. piperazine > aliphatic amines > piperidine

c. piperazine > aliphatic amines > piperidine
Rank the tertiary amine groups of phenothiazines that cause the most EPS to the least.
a. piperidine > piperazine > aliphatic amines
b. piperazine > piperidine > aliphatic amines
c. piperazine > aliphatic amines > piperidine

b. more 5-HT2A selectivity v/s D2
What is the MOA of benzazepines?
a. Block dopaminergic activity in the CNS and exhibit affinity for D2-type receptors versus D1 type (D2 antagonists)
b. more 5-HT2A selectivity v/s D2
a. Block dopaminergic activity in the CNS and exhibit affinity for D2-type receptors versus D1 type (D2 antagonists)
What is the MOA of phenothiazines nad butyrophenones?
a. Block dopaminergic activity in the CNS and exhibit affinity for D2-type receptors versus D1 type (D2 antagonists)
b. act at 5-HT and D2-type receptors (D/S activities)