1/20
Name | Mastery | Learn | Test | Matching | Spaced | Call with Kai |
|---|
No analytics yet
Send a link to your students to track their progress

expérience inter-groupe

expérience intra-sujet

Habituation
(expérience Epstein et al, citron)

Sensibilisation
(expérience Bashinski, temps de fixation bézbé)

=> Habituation progressive
=> Habituation immédiate
=> Récupération spontanée

Mécanisme antagoniste pendant l’exposition au stimulus (drogue)

Mécanisme antagoniste après une exposition prolongée au stimulus

Conditionnement de la peur
=> Grand ration: petite suppression + petite peur
=> Ration diminue: suppression augmente + peur augmente

Aversion gustative
(délai SC-SI et incidence sur la création d’aversion)
=> aversion forte
=> aversion forte
=> pas d’inversion

Conditionnement à délai court

Conditionnement à trace
=> Intervalle de trace

Conditionnement à délai long

Conditionnement simultanée

Conditionnement arrière

Efficacité selon l’intervalle SC-SI

Contingence SC-SI négative

Inhibition latente ou pré-exposition au SC
PE 0: 0 expositions au SC seul
PE 40: 40 exposition

pré exposition
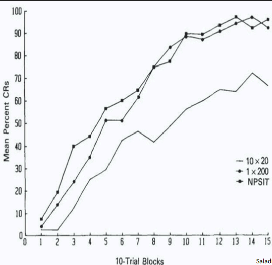
(expérience Saladin, jet d’air dans l’œil)

Inhibition conditionnée pavlovienne

courbe de l’apprentissage

contiguïté temporelle entre le SC et le SI
ILS < 0 : conditionnement arrière
ILS= 0 : conditionnement simultané
ILS > 0 : conditionnement avant