1/20
Looks like no tags are added yet.
Name | Mastery | Learn | Test | Matching | Spaced | Call with Kai |
|---|
No analytics yet
Send a link to your students to track their progress
What is a stochastic process

What is a Auto regressive function and what do we use to identify its order in ACF and PACF
Use PACF to find its order of AR model, if the ACF converses to 0

If we have the error term as white noise, what is the Mean and Variance equal to
Expected value and variance is constant from the idea of stationarity

What is the equation for CO variance

What defines the auto correlation of a function?
What is the necessary conditionn for AR(1) to be stationary

define what strictly stationary means

define what strictly stationary means v2

Define what weak or covariance stationary process means

Define a wealky dependent time series

Define Wold Decomposition

What are some of the equation for AR(1)

What is a PAC

What equation do we use to find partial auto correlations in AR(2) models

Q stat in the PAC, what is it used for

What are the respective moment in a MA(1) model

What do PAC show in a MA(1) model
Cut off after the first lag

How to take roots in the AR model

How to take roots in the MA model


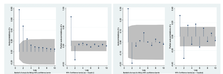
What models are these and why
AR (2) - high AR, PAC two very high and then all cut off to 0 after 2 lags
MR (2) - 2 high ar , then cuts off, while the PAC converges more slowly

What is the condition for stationary and Invertibility in an ARIMA model
